🇳🇴 🇬🇧 🇩🇪 🇨🇿 🇫🇮

Meteor Ekshäradin yllä 2025-01-31 17:06:40 UTC

KML-tiedosto  |  Interaktiivinen kartta

Kartta näyttää meteorin suuntahavainnot. Vaaleammat viivat näyttävät suunnat havaintoasemilta meteorin ilmestyessä, ja tummemmat viivat näyttävät, missä se viimeksi nähtiin. Sininen nuoli näyttää meteorin näkyvän lennon.

static map
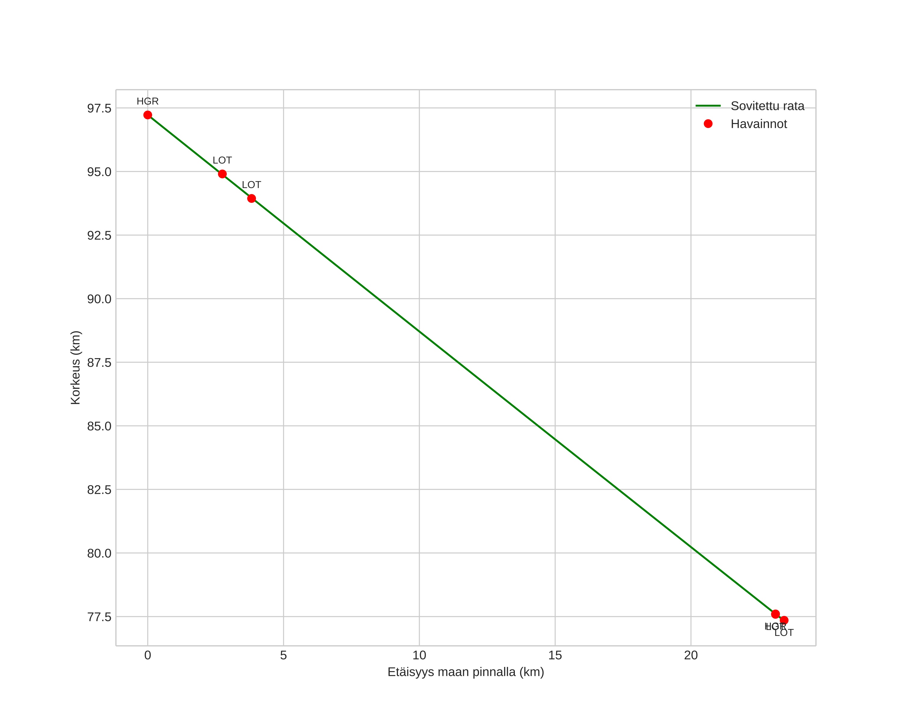
height profile
Meteorin ilmakehärata:
Alkukorkeus: 96,9 km
Loppukorkeus: 77,4 km
Alkupiste: 60,381N 12,975E
Loppupiste: 60,225N 13,251E
Suunta: 138,7°
Kallistuskulma: 40,2°
Tulonopeus: 25,6 km/s
Radiantin R,A,: 19:14 (288,5°)
Radiantin Dekl,: 54,9°
Meteoriparvi: Sporadinen
Meteoroidin rataelementit:
Perihelietäisyys: 0,954 AU
Eksentrisyys: 0,660
Inklinaatio: 36,2°
Nousevan solmun pituus: 311,7°
Perihelin argumentti: 157,1°
Keskianomalia: 3,6°
Epookki: 2025 JAN 31 17:06:40
orbit plot

Ei-interaktiivinen kuvaaja | Interaktiivinen kuvaaja

position vs time
speed and acceleration