🇳🇴 🇬🇧 🇩🇪 🇨🇿 🇫🇮

Meteor, poloha: Älvdalen 2025-01-31 21:52:29 UTC

Soubor KML  |  InteraktivnĂ­ mapa

Mapa zobrazuje dráhy meteoru. Světlejší čáry ukazují směry od pozorovacích stanic při objevení se meteoru a tmavší čáry, kde byl naposledy viděn. Modrá šipka značí viditelnou dráhu meteoru.

static map
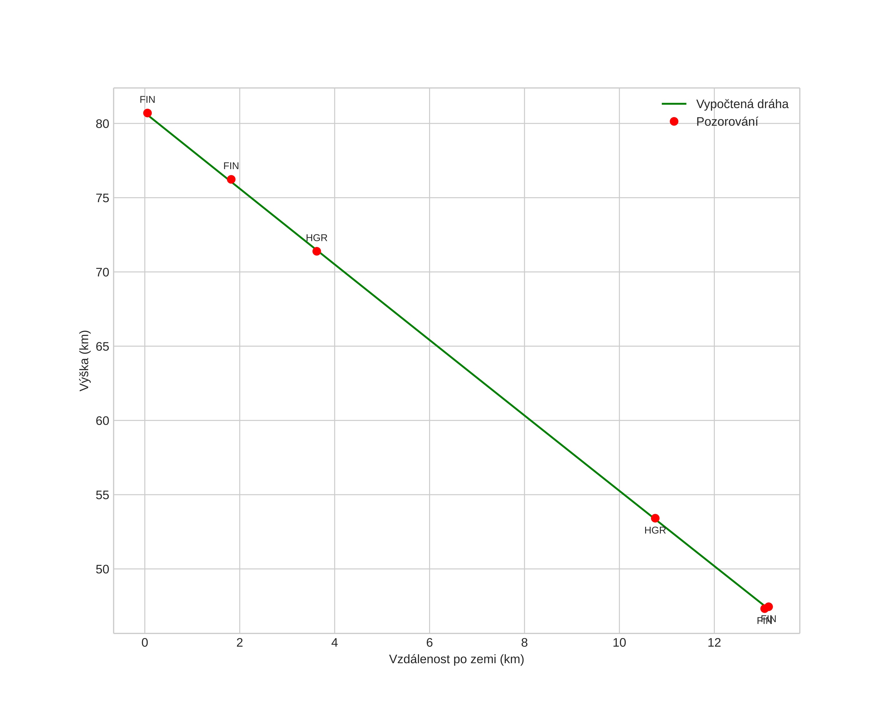
height profile
Atmosférická dráha meteoru:
Počáteční výška: 83,2 km
Konečná výška: 47,3 km
Počáteční poloha: 61,916N 13,535E
Konečná poloha: 61,790N 13,585E
Směr: 169,4°
Sklon: 68,3°
VstupnĂ­ rychlost: 19,1 km/s
Rektascenze radiantu: 04:15 (63,8°)
Deklinace radiantu: 83,1°
MeteorickĂ˝ roj: sporadickĂ˝
Elementy dráhy meteoroidu:
Vzdálenost v periheliu: 0,966 AU
Excentricita: 0,677
Sklon dráhy: 20,6°
Délka vzestupného uzlu: 311,9°
Argument perihelia: 198,2°
Střední anomálie: 357,4°
Epocha: 2025 JAN 31 21:52:29
orbit plot

NeinteraktivnĂ­ graf | InteraktivnĂ­ graf

position vs time
speed and acceleration