🇳🇴 🇬🇧 🇩🇪 🇨🇿 🇫🇮

Meteor Älvdalenin yllä 2025-01-31 21:52:29 UTC

KML-tiedosto  |  Interaktiivinen kartta

Kartta näyttää meteorin suuntahavainnot. Vaaleammat viivat näyttävät suunnat havaintoasemilta meteorin ilmestyessä, ja tummemmat viivat näyttävät, missä se viimeksi nähtiin. Sininen nuoli näyttää meteorin näkyvän lennon.

static map
height profile
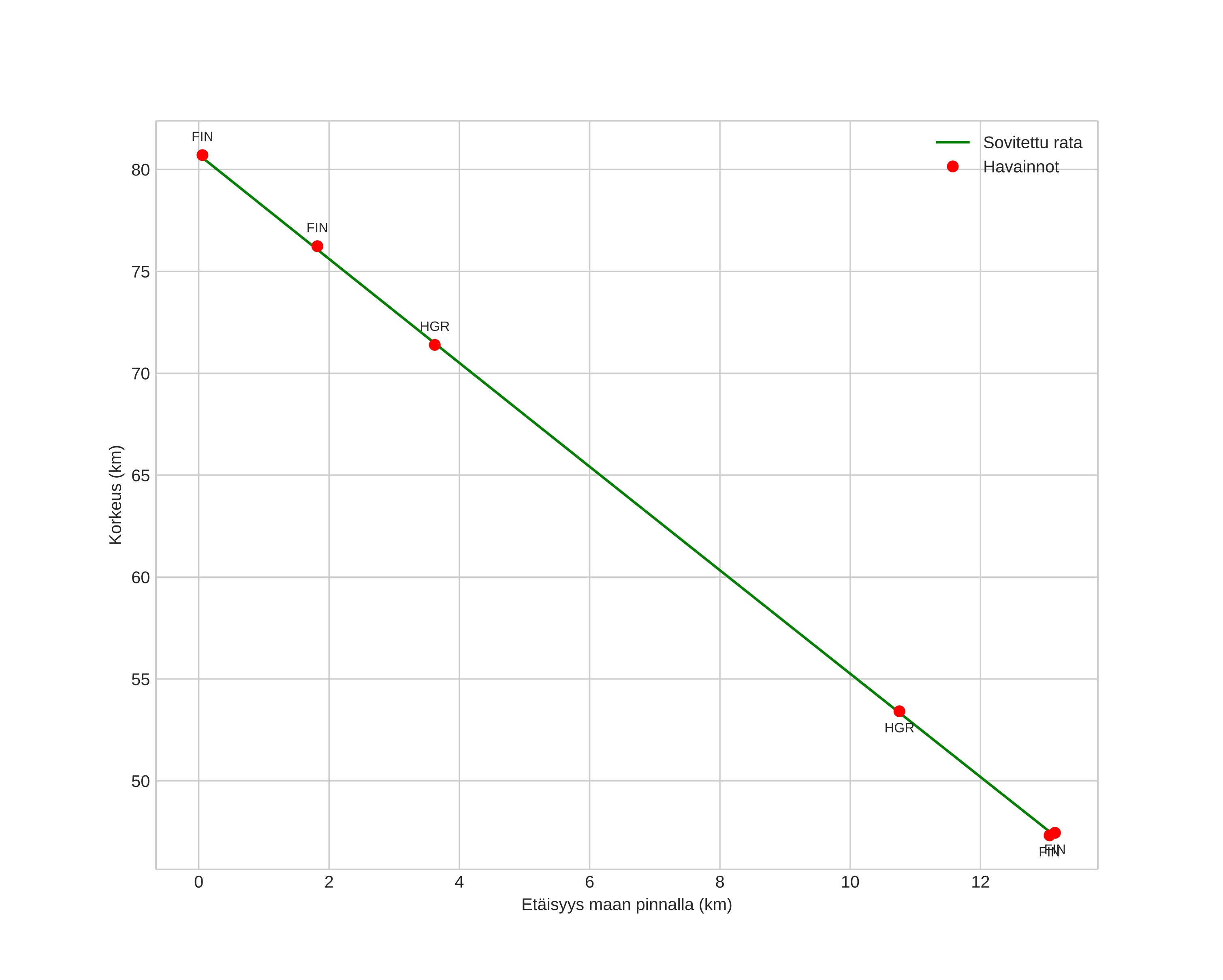
Meteorin ilmakehärata:
Alkukorkeus: 83,2 km
Loppukorkeus: 47,3 km
Alkupiste: 61,916N 13,535E
Loppupiste: 61,790N 13,585E
Suunta: 169,4°
Kallistuskulma: 68,3°
Tulonopeus: 19,1 km/s
Radiantin R,A,: 04:15 (63,8°)
Radiantin Dekl,: 83,1°
Meteoriparvi: Sporadinen
Meteoroidin rataelementit:
Perihelietäisyys: 0,966 AU
Eksentrisyys: 0,677
Inklinaatio: 20,6°
Nousevan solmun pituus: 311,9°
Perihelin argumentti: 198,2°
Keskianomalia: 357,4°
Epookki: 2025 JAN 31 21:52:29
orbit plot

Ei-interaktiivinen kuvaaja | Interaktiivinen kuvaaja

position vs time
speed and acceleration