🇳🇴 🇬🇧 🇩🇪 🇨🇿 🇫🇮

Meteor, poloha: Byrum 2025-01-31 22:19:45 UTC

Soubor KML  |  InteraktivnĂ­ mapa

Mapa zobrazuje dráhy meteoru. Světlejší čáry ukazují směry od pozorovacích stanic při objevení se meteoru a tmavší čáry, kde byl naposledy viděn. Modrá šipka značí viditelnou dráhu meteoru.

static map
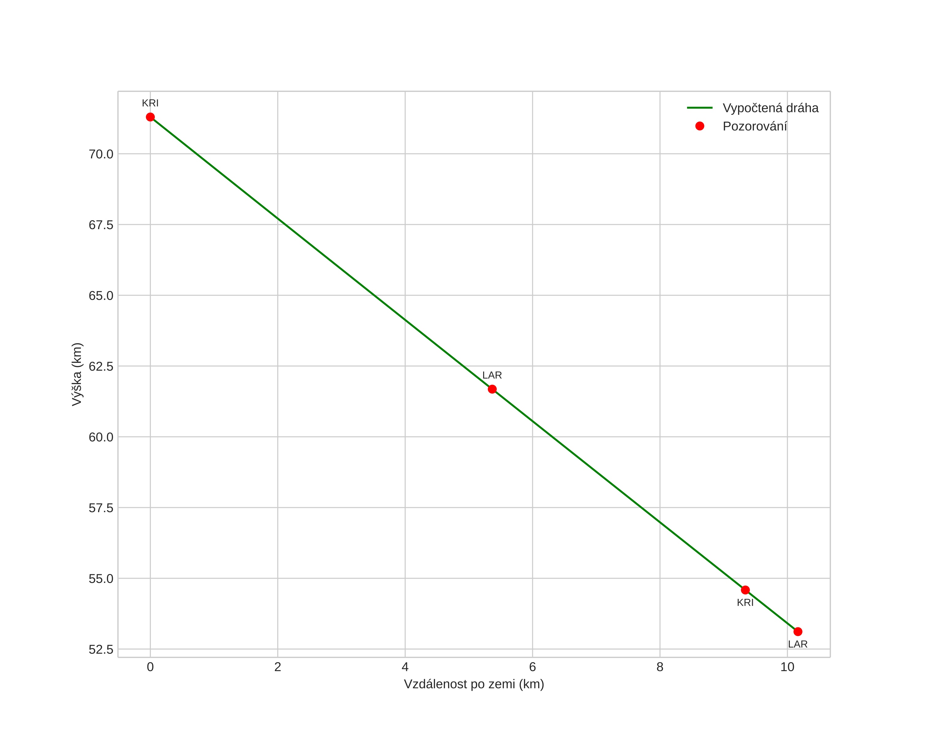
height profile
Atmosférická dráha meteoru:
Počáteční výška: 71,3 km
Konečná výška: 53,0 km
Počáteční poloha: 57,477N 10,878E
Konečná poloha: 57,542N 10,994E
Směr: 43,4°
Sklon: 61,2°
VstupnĂ­ rychlost: 15,1 km/s
Rektascenze radiantu: 05:57 (89,5°)
Deklinace radiantu: 28,0°
MeteorickĂ˝ roj: sporadickĂ˝
Elementy dráhy meteoroidu:
Vzdálenost v periheliu: 0,936 AU
Excentricita: 0,619
Sklon dráhy: 1,3°
Délka vzestupného uzlu: 311,9°
Argument perihelia: 209,7°
Střední anomálie: 354,3°
Epocha: 2025 JAN 31 22:19:45
orbit plot

NeinteraktivnĂ­ graf | InteraktivnĂ­ graf

position vs time
speed and acceleration