🇳🇴 🇬🇧 🇩🇪 🇨🇿 🇫🇮

Meteor Byrumin yllä 2025-01-31 22:19:45 UTC

KML-tiedosto  |  Interaktiivinen kartta

Kartta näyttää meteorin suuntahavainnot. Vaaleammat viivat näyttävät suunnat havaintoasemilta meteorin ilmestyessä, ja tummemmat viivat näyttävät, missä se viimeksi nähtiin. Sininen nuoli näyttää meteorin näkyvän lennon.

static map
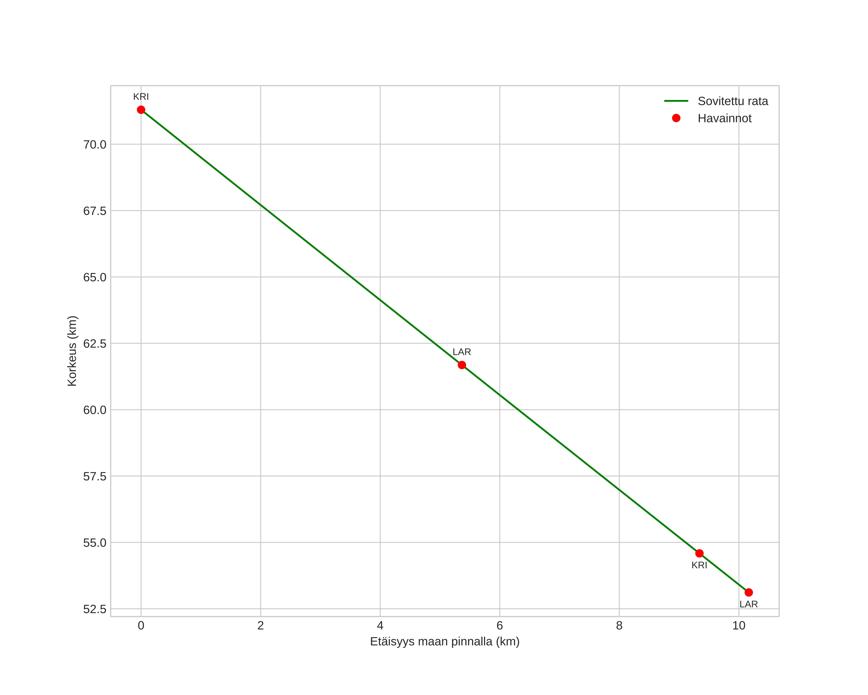
height profile
Meteorin ilmakehärata:
Alkukorkeus: 71,3 km
Loppukorkeus: 53,0 km
Alkupiste: 57,477N 10,878E
Loppupiste: 57,542N 10,994E
Suunta: 43,4°
Kallistuskulma: 61,2°
Tulonopeus: 15,1 km/s
Radiantin R,A,: 05:57 (89,5°)
Radiantin Dekl,: 28,0°
Meteoriparvi: Sporadinen
Meteoroidin rataelementit:
Perihelietäisyys: 0,936 AU
Eksentrisyys: 0,619
Inklinaatio: 1,3°
Nousevan solmun pituus: 311,9°
Perihelin argumentti: 209,7°
Keskianomalia: 354,3°
Epookki: 2025 JAN 31 22:19:45
orbit plot

Ei-interaktiivinen kuvaaja | Interaktiivinen kuvaaja

position vs time
speed and acceleration