🇳🇴 🇬🇧 🇩🇪 🇨🇿 🇫🇮

Meteor, poloha: Hällefors 2025-02-01 01:06:09 UTC

Soubor KML  |  InteraktivnĂ­ mapa

Mapa zobrazuje dráhy meteoru. Světlejší čáry ukazují směry od pozorovacích stanic při objevení se meteoru a tmavší čáry, kde byl naposledy viděn. Modrá šipka značí viditelnou dráhu meteoru.

static map
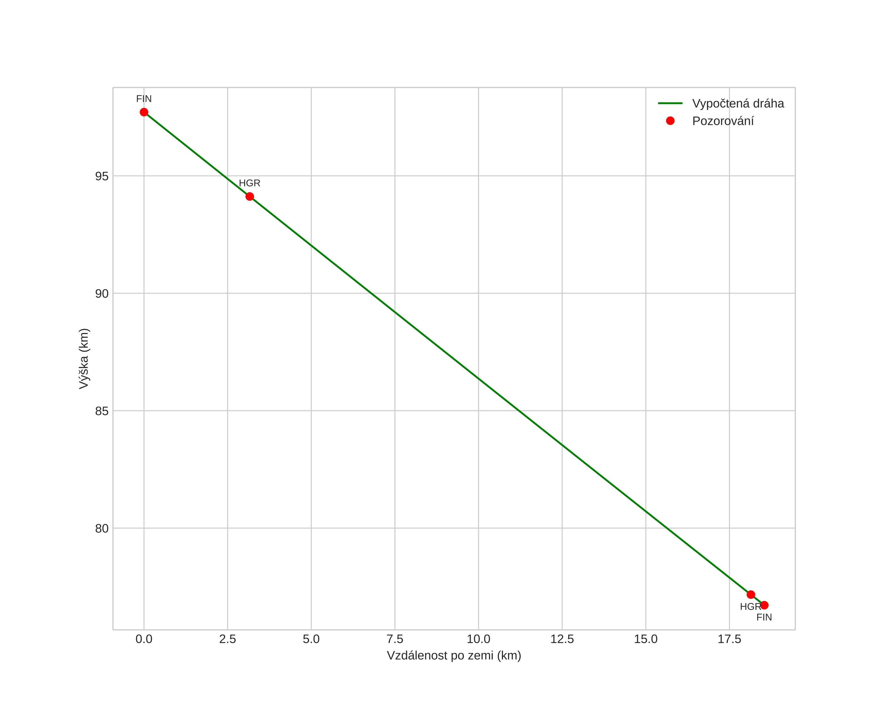
height profile
Atmosférická dráha meteoru:
Počáteční výška: 97,4 km
Konečná výška: 75,7 km
Počáteční poloha: 59,455N 14,497E
Konečná poloha: 59,608N 14,654E
Směr: 27,4°
Sklon: 48,5°
VstupnĂ­ rychlost: 29,7 km/s
Rektascenze radiantu: 09:29 (142,3°)
Deklinace radiantu: 18,6°
MeteorickĂ˝ roj: sporadickĂ˝
Elementy dráhy meteoroidu:
Vzdálenost v periheliu: 0,437 AU
Excentricita: 0,839
Sklon dráhy: 3,7°
Délka vzestupného uzlu: 312,0°
Argument perihelia: 282,7°
Střední anomálie: 350,7°
Epocha: 2025 FEB 01 01:06:09
orbit plot

NeinteraktivnĂ­ graf | InteraktivnĂ­ graf

position vs time
speed and acceleration