🇳🇴 🇬🇧 🇩🇪 🇨🇿 🇫🇮

Meteor Hälleforsin yllä 2025-02-01 01:06:09 UTC

KML-tiedosto  |  Interaktiivinen kartta

Kartta näyttää meteorin suuntahavainnot. Vaaleammat viivat näyttävät suunnat havaintoasemilta meteorin ilmestyessä, ja tummemmat viivat näyttävät, missä se viimeksi nähtiin. Sininen nuoli näyttää meteorin näkyvän lennon.

static map
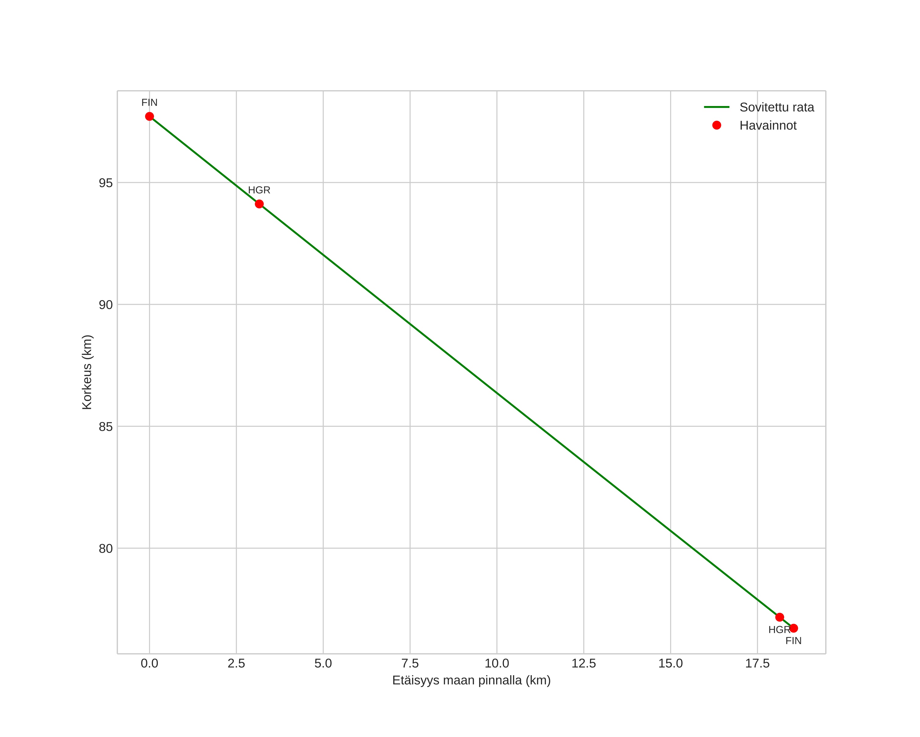
height profile
Meteorin ilmakehärata:
Alkukorkeus: 97,4 km
Loppukorkeus: 75,7 km
Alkupiste: 59,455N 14,497E
Loppupiste: 59,608N 14,654E
Suunta: 27,4°
Kallistuskulma: 48,5°
Tulonopeus: 29,7 km/s
Radiantin R,A,: 09:29 (142,3°)
Radiantin Dekl,: 18,6°
Meteoriparvi: Sporadinen
Meteoroidin rataelementit:
Perihelietäisyys: 0,437 AU
Eksentrisyys: 0,839
Inklinaatio: 3,7°
Nousevan solmun pituus: 312,0°
Perihelin argumentti: 282,7°
Keskianomalia: 350,7°
Epookki: 2025 FEB 01 01:06:09
orbit plot

Ei-interaktiivinen kuvaaja | Interaktiivinen kuvaaja

position vs time
speed and acceleration