🇳🇴 🇬🇧 🇩🇪 🇨🇿 🇫🇮

Meteor, poloha: Fossbergom 2025-02-01 02:37:47 UTC

Soubor KML  |  InteraktivnĂ­ mapa

Mapa zobrazuje dráhy meteoru. Světlejší čáry ukazují směry od pozorovacích stanic při objevení se meteoru a tmavší čáry, kde byl naposledy viděn. Modrá šipka značí viditelnou dráhu meteoru.

static map
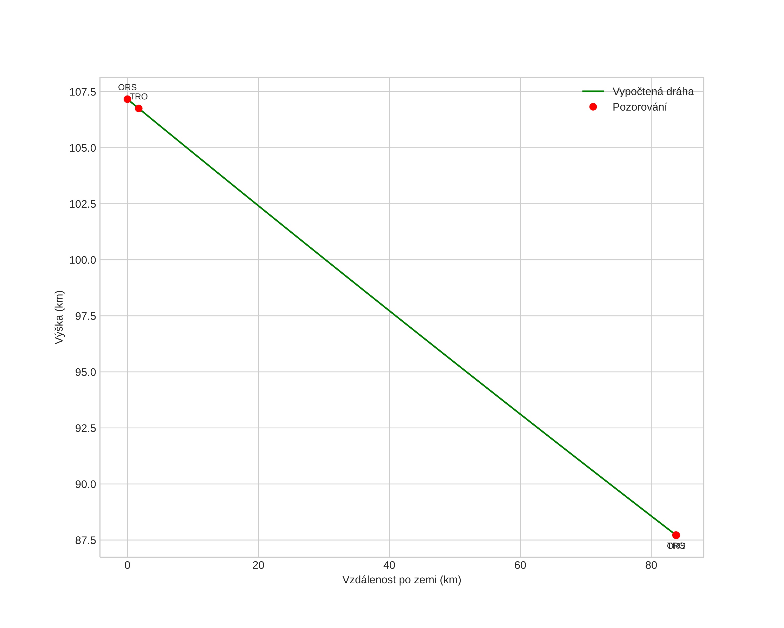
height profile
Atmosférická dráha meteoru:
Počáteční výška: 107,2 km
Konečná výška: 87,7 km
Počáteční poloha: 61,426N 9,798E
Konečná poloha: 61,795N 8,416E
Směr: 300,0°
Sklon: 13,1°
VstupnĂ­ rychlost: 68,6 km/s
Rektascenze radiantu: 15:52 (238,1°)
Deklinace radiantu: -2,4°
MeteorickĂ˝ roj: sporadickĂ˝
Elementy dráhy meteoroidu:
Vzdálenost v periheliu: 0,826 AU
Excentricita: 0,906
Sklon dráhy: 147,9°
Délka vzestupného uzlu: 312,1°
Argument perihelia: 131,3°
Střední anomálie: 1,1°
Epocha: 2025 FEB 01 02:37:47
orbit plot

NeinteraktivnĂ­ graf | InteraktivnĂ­ graf

position vs time
speed and acceleration

Orsta (ORS) cam1

gnomonic
Videa
Obrázky
• Původní
Textové soubory
• Detekce
• Pozorování
• Souřadnice
• Protokol
Jasnost