🇳🇴 🇬🇧 🇩🇪 🇨🇿 🇫🇮

Meteor Fossbergomin yllä 2025-02-01 02:37:47 UTC

KML-tiedosto  |  Interaktiivinen kartta

Kartta näyttää meteorin suuntahavainnot. Vaaleammat viivat näyttävät suunnat havaintoasemilta meteorin ilmestyessä, ja tummemmat viivat näyttävät, missä se viimeksi nähtiin. Sininen nuoli näyttää meteorin näkyvän lennon.

static map
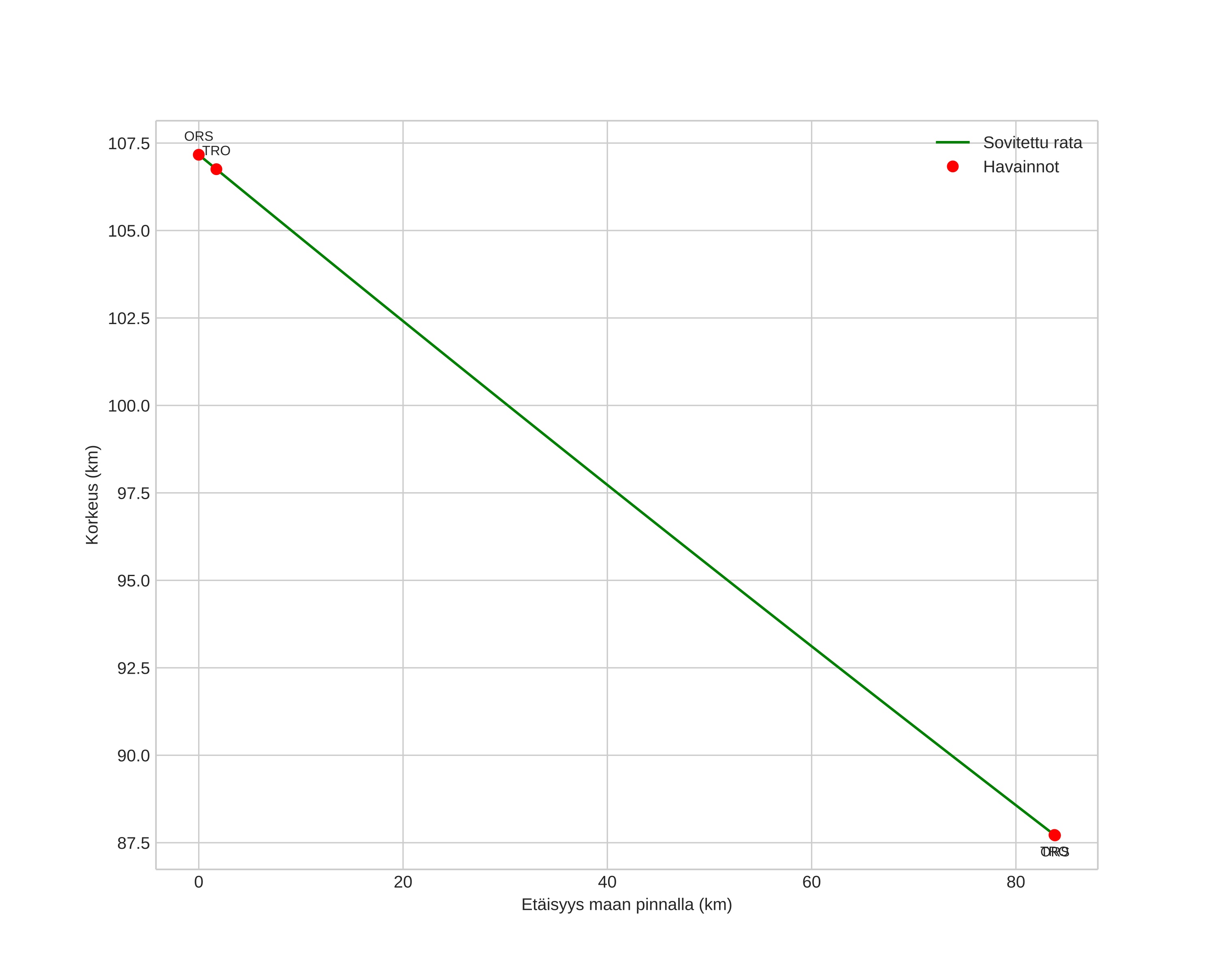
height profile
Meteorin ilmakehärata:
Alkukorkeus: 107,2 km
Loppukorkeus: 87,7 km
Alkupiste: 61,426N 9,798E
Loppupiste: 61,795N 8,416E
Suunta: 300,0°
Kallistuskulma: 13,1°
Tulonopeus: 68,6 km/s
Radiantin R,A,: 15:52 (238,1°)
Radiantin Dekl,: -2,4°
Meteoriparvi: Sporadinen
Meteoroidin rataelementit:
Perihelietäisyys: 0,826 AU
Eksentrisyys: 0,906
Inklinaatio: 147,9°
Nousevan solmun pituus: 312,1°
Perihelin argumentti: 131,3°
Keskianomalia: 1,1°
Epookki: 2025 FEB 01 02:37:47
orbit plot

Ei-interaktiivinen kuvaaja | Interaktiivinen kuvaaja

position vs time
speed and acceleration

Orsta (ORS) cam1

gnomonic
Videot:
Kuvat:
• Alkuperäinen
Tekstitiedostot:
• Havaintoraportti
• Observaatio
• Koordinaatit
• Loki
Kirkkaus