🇳🇴 🇬🇧 🇩🇪 🇨🇿 🇫🇮

Meteor, poloha: Diseröd 2025-02-01 05:40:40 UTC

Soubor KML  |  InteraktivnĂ­ mapa

Mapa zobrazuje dráhy meteoru. Světlejší čáry ukazují směry od pozorovacích stanic při objevení se meteoru a tmavší čáry, kde byl naposledy viděn. Modrá šipka značí viditelnou dráhu meteoru.

static map
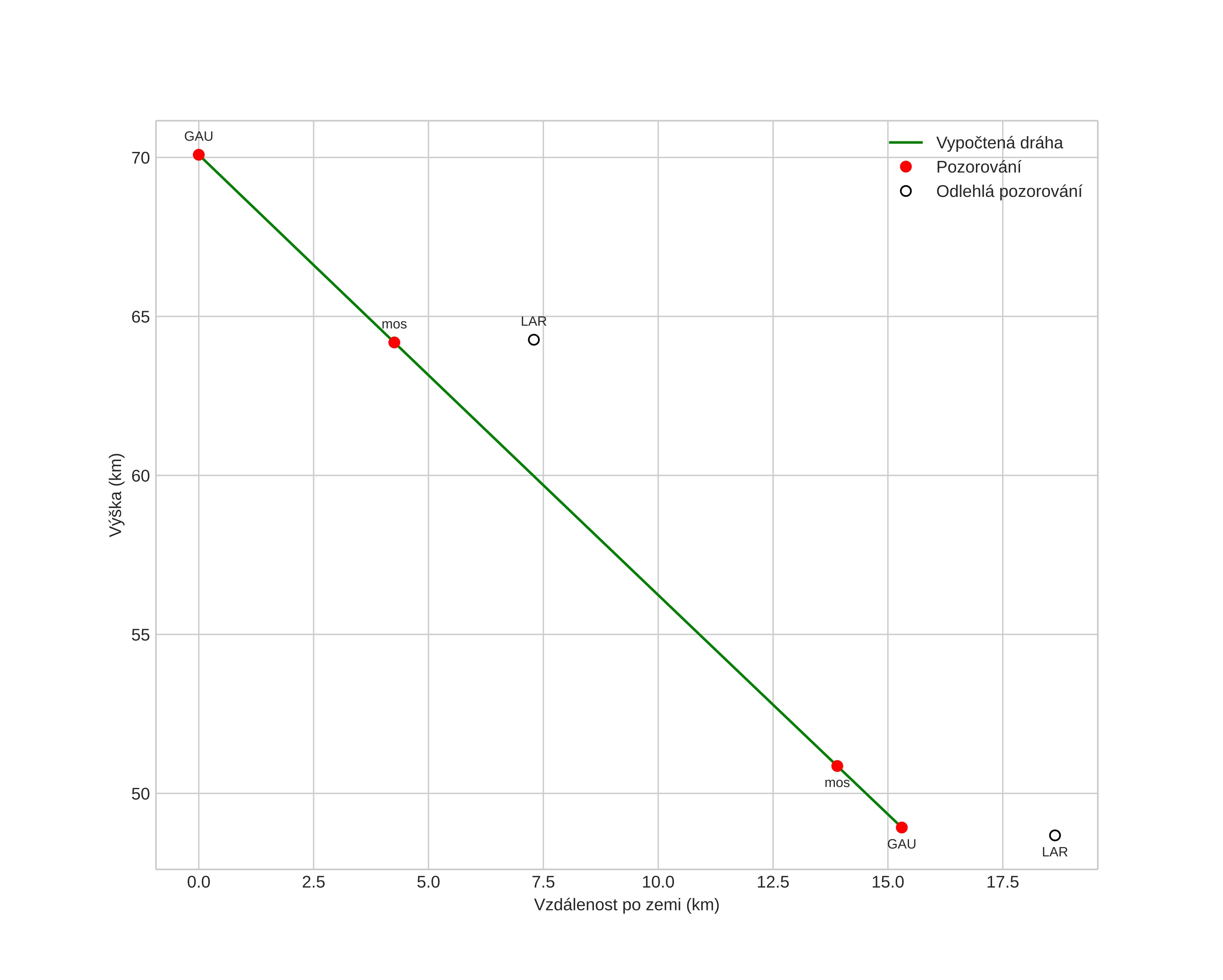
height profile
Atmosférická dráha meteoru:
Počáteční výška: 68,6 km
Konečná výška: 47,3 km
Počáteční poloha: 58,081N 12,096E
Konečná poloha: 57,945N 12,043E
Směr: 191,6°
Sklon: 54,0°
VstupnĂ­ rychlost: 16,2 km/s
Rektascenze radiantu: 00:48 (12,2°)
Deklinace radiantu: 78,4°
MeteorickĂ˝ roj: sporadickĂ˝
Elementy dráhy meteoroidu:
Vzdálenost v periheliu: 0,981 AU
Excentricita: 0,508
Sklon dráhy: 16,3°
Délka vzestupného uzlu: 312,3°
Argument perihelia: 188,9°
Střední anomálie: 357,5°
Epocha: 2025 FEB 01 05:40:40
orbit plot

NeinteraktivnĂ­ graf | InteraktivnĂ­ graf

position vs time
speed and acceleration