🇳🇴 🇬🇧 🇩🇪 🇨🇿 🇫🇮

Meteor Diserödin yllä 2025-02-01 05:40:40 UTC

KML-tiedosto  |  Interaktiivinen kartta

Kartta näyttää meteorin suuntahavainnot. Vaaleammat viivat näyttävät suunnat havaintoasemilta meteorin ilmestyessä, ja tummemmat viivat näyttävät, missä se viimeksi nähtiin. Sininen nuoli näyttää meteorin näkyvän lennon.

static map
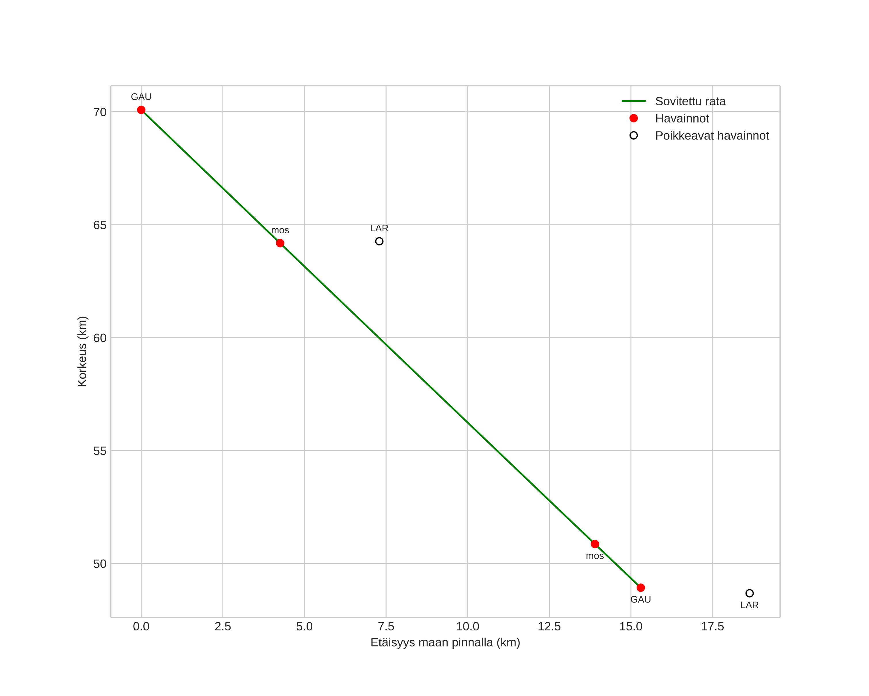
height profile
Meteorin ilmakehärata:
Alkukorkeus: 68,6 km
Loppukorkeus: 47,3 km
Alkupiste: 58,081N 12,096E
Loppupiste: 57,945N 12,043E
Suunta: 191,6°
Kallistuskulma: 54,0°
Tulonopeus: 16,2 km/s
Radiantin R,A,: 00:48 (12,2°)
Radiantin Dekl,: 78,4°
Meteoriparvi: Sporadinen
Meteoroidin rataelementit:
Perihelietäisyys: 0,981 AU
Eksentrisyys: 0,508
Inklinaatio: 16,3°
Nousevan solmun pituus: 312,3°
Perihelin argumentti: 188,9°
Keskianomalia: 357,5°
Epookki: 2025 FEB 01 05:40:40
orbit plot

Ei-interaktiivinen kuvaaja | Interaktiivinen kuvaaja

position vs time
speed and acceleration