🇳🇴 🇬🇧 🇩🇪 🇨🇿 🇫🇮

Meteor, poloha: Storsteinnes 2025-02-02 05:29:45 UTC

Soubor KML  |  InteraktivnĂ­ mapa

Mapa zobrazuje dráhy meteoru. Světlejší čáry ukazují směry od pozorovacích stanic při objevení se meteoru a tmavší čáry, kde byl naposledy viděn. Modrá šipka značí viditelnou dráhu meteoru.

static map
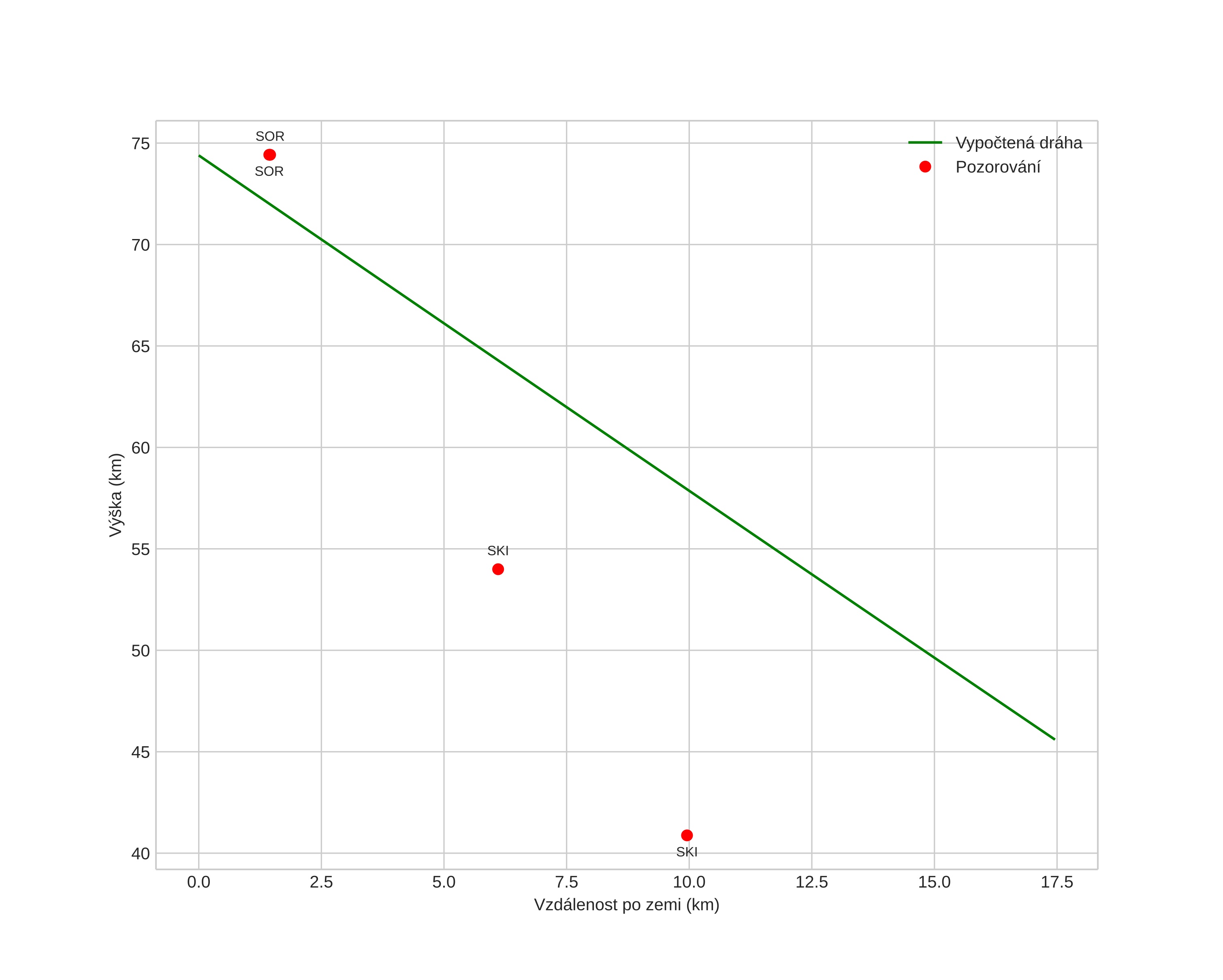
height profile
Atmosférická dráha meteoru:
Počáteční výška: 74,5 km
Konečná výška: 46,0 km
Počáteční poloha: 68,540N 19,854E
Konečná poloha: 68,650N 19,549E
Směr: 314,7°
Sklon: 58,6°
VstupnĂ­ rychlost: 13,7 km/s
Rektascenze radiantu: 17:47 (266,8°)
Deklinace radiantu: 33,5°
MeteorickĂ˝ roj: sporadickĂ˝
Elementy dráhy meteoroidu:
Vzdálenost v periheliu: 0,724 AU
Excentricita: 0,170
Sklon dráhy: 13,7°
Délka vzestupného uzlu: 313,3°
Argument perihelia: 34,3°
Střední anomálie: 133,4°
Epocha: 2025 FEB 02 05:29:45
orbit plot

NeinteraktivnĂ­ graf | InteraktivnĂ­ graf

position vs time
speed and acceleration