🇳🇴 🇬🇧 🇩🇪 🇨🇿 🇫🇮

Meteor Storsteinnesin yllä 2025-02-02 05:29:45 UTC

KML-tiedosto  |  Interaktiivinen kartta

Kartta näyttää meteorin suuntahavainnot. Vaaleammat viivat näyttävät suunnat havaintoasemilta meteorin ilmestyessä, ja tummemmat viivat näyttävät, missä se viimeksi nähtiin. Sininen nuoli näyttää meteorin näkyvän lennon.

static map
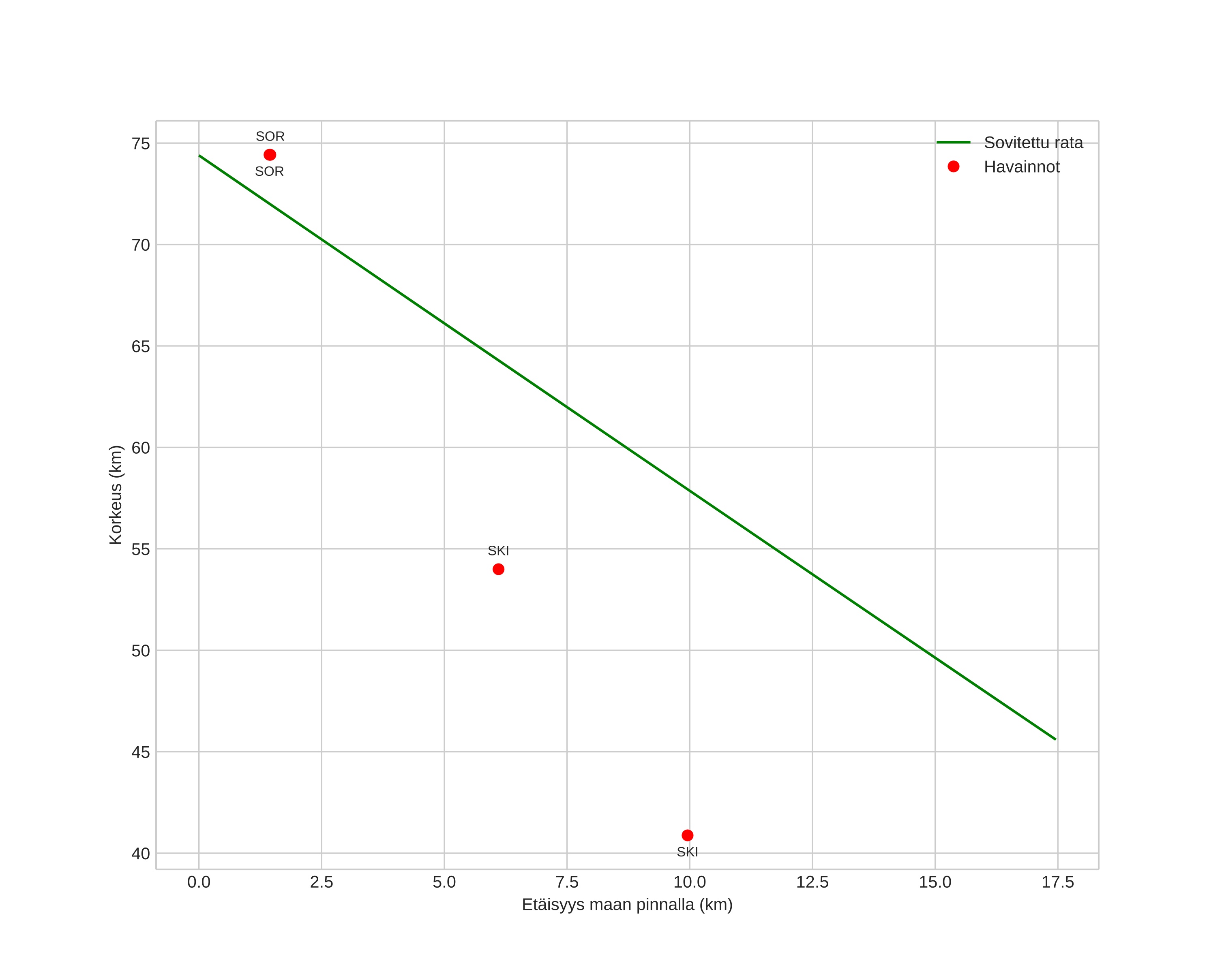
height profile
Meteorin ilmakehärata:
Alkukorkeus: 74,5 km
Loppukorkeus: 46,0 km
Alkupiste: 68,540N 19,854E
Loppupiste: 68,650N 19,549E
Suunta: 314,7°
Kallistuskulma: 58,6°
Tulonopeus: 13,7 km/s
Radiantin R,A,: 17:47 (266,8°)
Radiantin Dekl,: 33,5°
Meteoriparvi: Sporadinen
Meteoroidin rataelementit:
Perihelietäisyys: 0,724 AU
Eksentrisyys: 0,170
Inklinaatio: 13,7°
Nousevan solmun pituus: 313,3°
Perihelin argumentti: 34,3°
Keskianomalia: 133,4°
Epookki: 2025 FEB 02 05:29:45
orbit plot

Ei-interaktiivinen kuvaaja | Interaktiivinen kuvaaja

position vs time
speed and acceleration