🇳🇴 🇬🇧 🇩🇪 🇨🇿 🇫🇮

Meteor, poloha: Bjørkelangen 2025-02-05 18:13:25 UTC

Soubor KML  |  InteraktivnĂ­ mapa

Mapa zobrazuje dráhy meteoru. Světlejší čáry ukazují směry od pozorovacích stanic při objevení se meteoru a tmavší čáry, kde byl naposledy viděn. Modrá šipka značí viditelnou dráhu meteoru.

static map
height profile
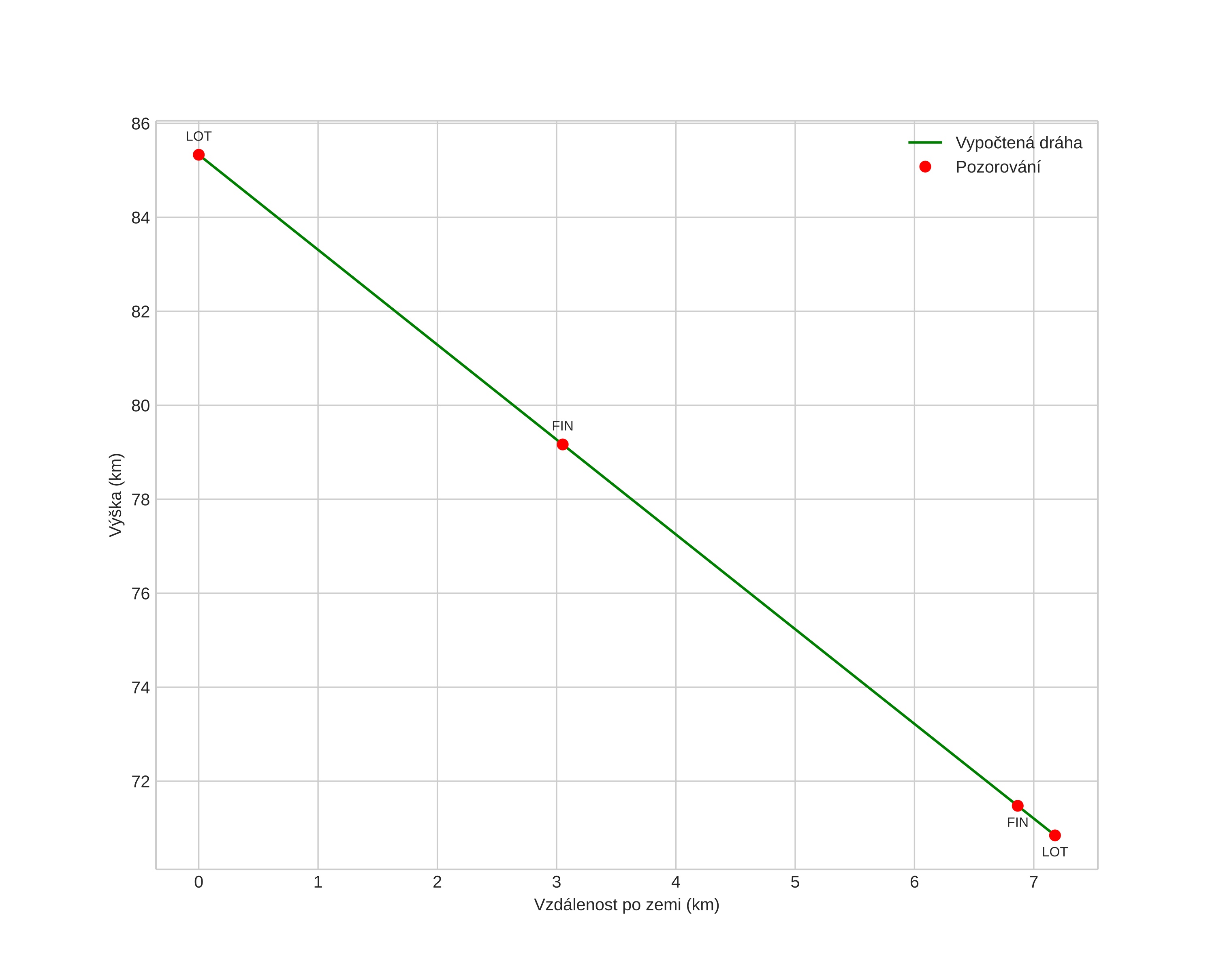
Atmosférická dráha meteoru:
Počáteční výška: 87,5 km
Konečná výška: 71,1 km
Počáteční poloha: 59,959N 11,862E
Konečná poloha: 59,916N 11,735E
Směr: 236,2°
Sklon: 62,6°
VstupnĂ­ rychlost: 19,3 km/s
Rektascenze radiantu: 08:21 (125,4°)
Deklinace radiantu: 63,2°
MeteorickĂ˝ roj: sporadickĂ˝
Elementy dráhy meteoroidu:
Vzdálenost v periheliu: 0,898 AU
Excentricita: 0,657
Sklon dráhy: 16,6°
Délka vzestupného uzlu: 316,8°
Argument perihelia: 219,1°
Střední anomálie: 353,5°
Epocha: 2025 FEB 05 18:13:25
orbit plot

NeinteraktivnĂ­ graf | InteraktivnĂ­ graf

position vs time
speed and acceleration