🇳🇴 🇬🇧 🇩🇪 🇨🇿 🇫🇮

Meteor Bjørkelangenin yllä 2025-02-05 18:13:25 UTC

KML-tiedosto  |  Interaktiivinen kartta

Kartta näyttää meteorin suuntahavainnot. Vaaleammat viivat näyttävät suunnat havaintoasemilta meteorin ilmestyessä, ja tummemmat viivat näyttävät, missä se viimeksi nähtiin. Sininen nuoli näyttää meteorin näkyvän lennon.

static map
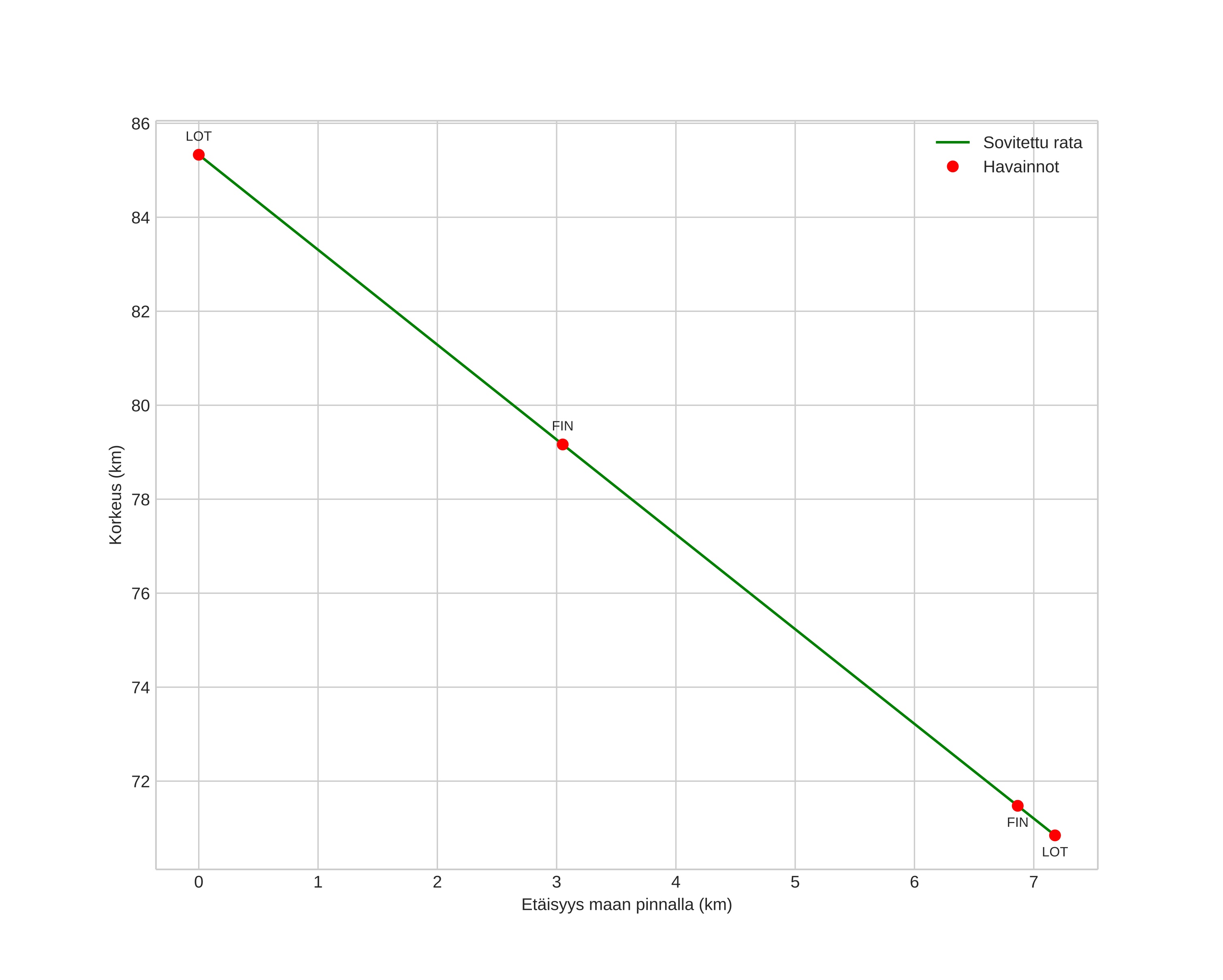
height profile
Meteorin ilmakehärata:
Alkukorkeus: 87,5 km
Loppukorkeus: 71,1 km
Alkupiste: 59,959N 11,862E
Loppupiste: 59,916N 11,735E
Suunta: 236,2°
Kallistuskulma: 62,6°
Tulonopeus: 19,3 km/s
Radiantin R,A,: 08:21 (125,4°)
Radiantin Dekl,: 63,2°
Meteoriparvi: Sporadinen
Meteoroidin rataelementit:
Perihelietäisyys: 0,898 AU
Eksentrisyys: 0,657
Inklinaatio: 16,6°
Nousevan solmun pituus: 316,8°
Perihelin argumentti: 219,1°
Keskianomalia: 353,5°
Epookki: 2025 FEB 05 18:13:25
orbit plot

Ei-interaktiivinen kuvaaja | Interaktiivinen kuvaaja

position vs time
speed and acceleration