🇳🇴 🇬🇧 🇩🇪 🇨🇿 🇫🇮

Meteor, poloha: Byrum 2025-02-06 00:43:13 UTC

Soubor KML  |  InteraktivnĂ­ mapa

Mapa zobrazuje dráhy meteoru. Světlejší čáry ukazují směry od pozorovacích stanic při objevení se meteoru a tmavší čáry, kde byl naposledy viděn. Modrá šipka značí viditelnou dráhu meteoru.

static map
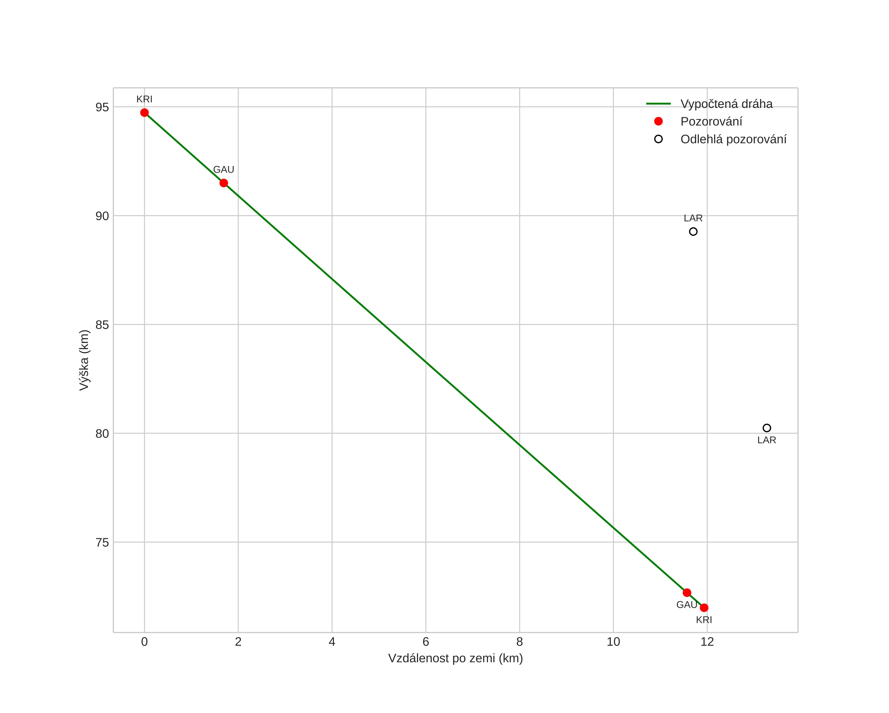
height profile
Atmosférická dráha meteoru:
Počáteční výška: 95,3 km
Konečná výška: 69,4 km
Počáteční poloha: 57,472N 10,988E
Konečná poloha: 57,353N 11,039E
Směr: 166,8°
Sklon: 62,4°
VstupnĂ­ rychlost: 17,7 km/s
Rektascenze radiantu: 05:31 (82,8°)
Deklinace radiantu: 82,0°
MeteorickĂ˝ roj: sporadickĂ˝
Elementy dráhy meteoroidu:
Vzdálenost v periheliu: 0,968 AU
Excentricita: 0,599
Sklon dráhy: 18,4°
Délka vzestupného uzlu: 317,1°
Argument perihelia: 198,2°
Střední anomálie: 356,3°
Epocha: 2025 FEB 06 00:43:13
orbit plot

NeinteraktivnĂ­ graf | InteraktivnĂ­ graf

position vs time
speed and acceleration