🇳🇴 🇬🇧 🇩🇪 🇨🇿 🇫🇮

Meteor Byrumin yllä 2025-02-06 00:43:13 UTC

KML-tiedosto  |  Interaktiivinen kartta

Kartta näyttää meteorin suuntahavainnot. Vaaleammat viivat näyttävät suunnat havaintoasemilta meteorin ilmestyessä, ja tummemmat viivat näyttävät, missä se viimeksi nähtiin. Sininen nuoli näyttää meteorin näkyvän lennon.

static map
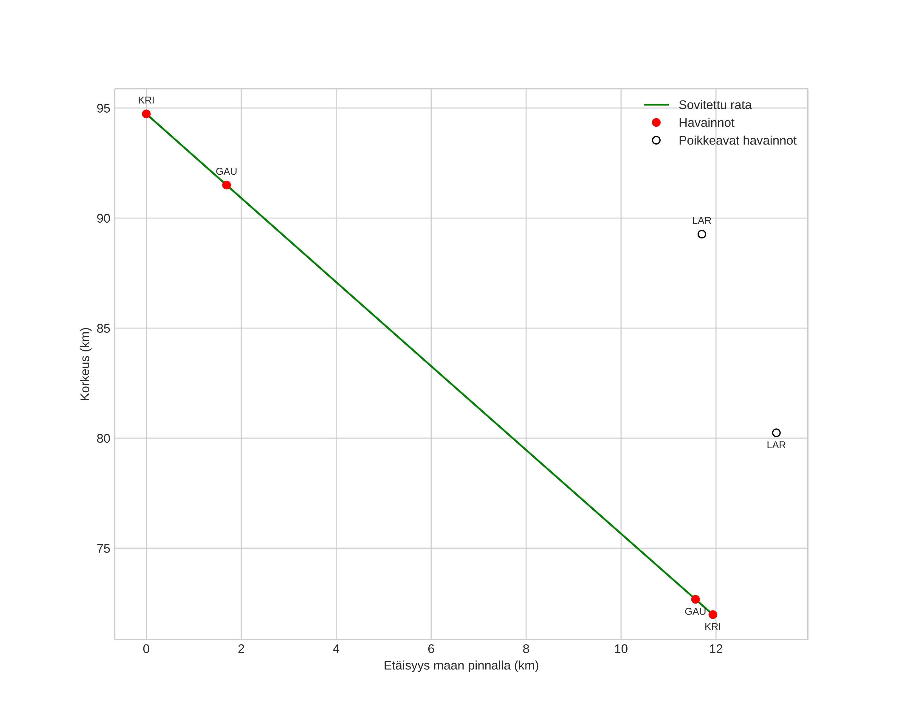
height profile
Meteorin ilmakehärata:
Alkukorkeus: 95,3 km
Loppukorkeus: 69,4 km
Alkupiste: 57,472N 10,988E
Loppupiste: 57,353N 11,039E
Suunta: 166,8°
Kallistuskulma: 62,4°
Tulonopeus: 17,7 km/s
Radiantin R,A,: 05:31 (82,8°)
Radiantin Dekl,: 82,0°
Meteoriparvi: Sporadinen
Meteoroidin rataelementit:
Perihelietäisyys: 0,968 AU
Eksentrisyys: 0,599
Inklinaatio: 18,4°
Nousevan solmun pituus: 317,1°
Perihelin argumentti: 198,2°
Keskianomalia: 356,3°
Epookki: 2025 FEB 06 00:43:13
orbit plot

Ei-interaktiivinen kuvaaja | Interaktiivinen kuvaaja

position vs time
speed and acceleration