🇳🇴 🇬🇧 🇩🇪 🇨🇿 🇫🇮

Meteor, poloha: Skarnes 2025-02-06 21:00:38 UTC

Soubor KML  |  InteraktivnĂ­ mapa

Mapa zobrazuje dráhy meteoru. Světlejší čáry ukazují směry od pozorovacích stanic při objevení se meteoru a tmavší čáry, kde byl naposledy viděn. Modrá šipka značí viditelnou dráhu meteoru.

static map
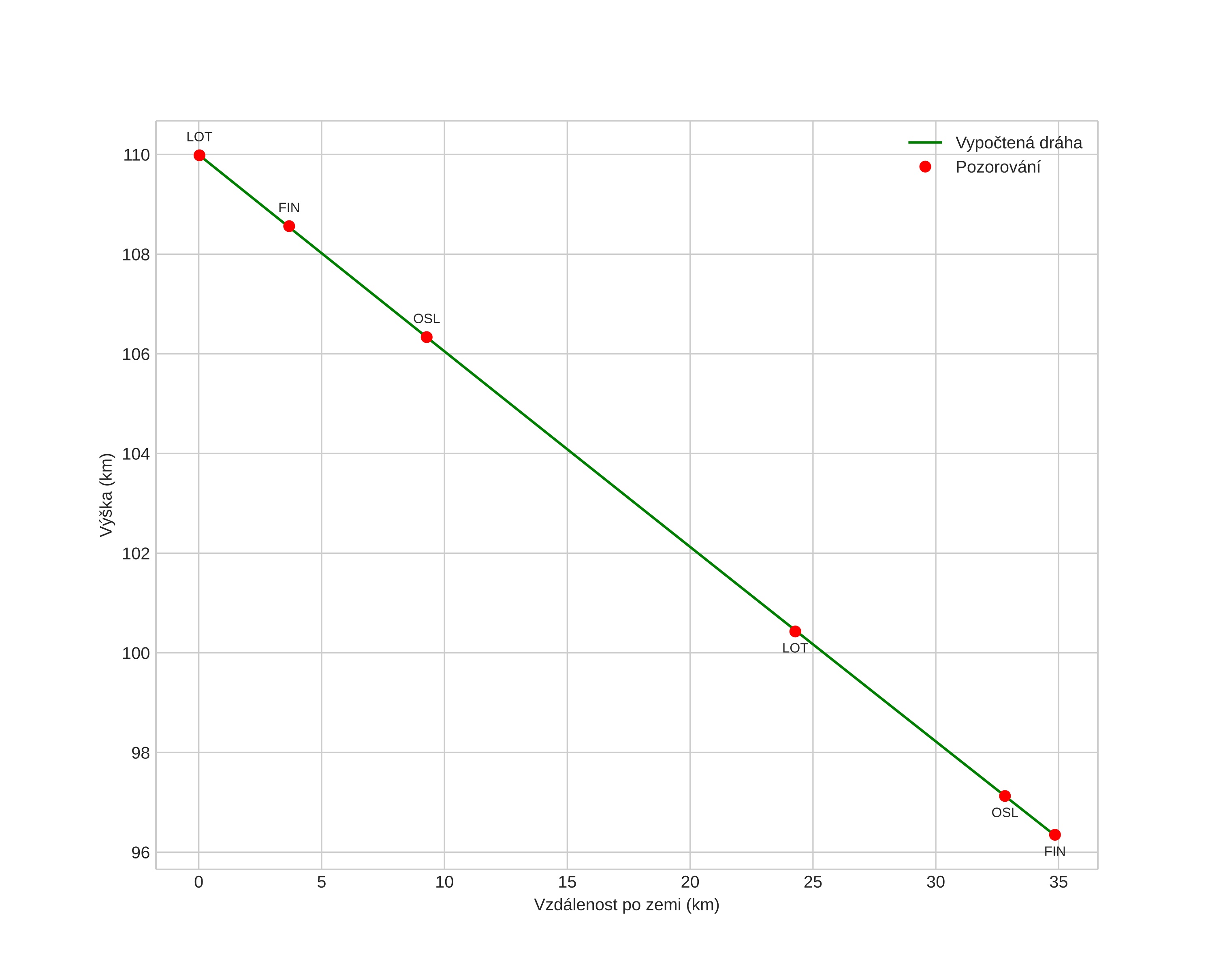
height profile
Atmosférická dráha meteoru:
Počáteční výška: 111,9 km
Konečná výška: 96,1 km
Počáteční poloha: 60,566N 12,346E
Konečná poloha: 60,381N 11,744E
Směr: 238,3°
Sklon: 22,1°
VstupnĂ­ rychlost: 53,7 km/s
Rektascenze radiantu: 14:07 (211,8°)
Deklinace radiantu: 34,0°
MeteorickĂ˝ roj: sporadickĂ˝
Elementy dráhy meteoroidu:
Vzdálenost v periheliu: 0,732 AU
Excentricita: 0,947
Sklon dráhy: 92,3°
Délka vzestupného uzlu: 318,0°
Argument perihelia: 242,0°
Střední anomálie: 359,3°
Epocha: 2025 FEB 06 21:00:38
orbit plot

NeinteraktivnĂ­ graf | InteraktivnĂ­ graf

position vs time
speed and acceleration

Loten (LOT) cam7


gnomonic
Videa
• Gnomonická
• Gnomonická se souřadnicemi
• Původní
• Původní se souřadnicemi
Obrázky
• Gnomonická
• Gnomonická se souřadnicemi
• Gnomonická s popisky
• Původní
• Původní se souřadnicemi
Textové soubory
• Detekce
• Pozorování
• Souřadnice
• Protokol
Jasnost