🇳🇴 🇬🇧 🇩🇪 🇨🇿 🇫🇮

Meteor Skarnesin yllä 2025-02-06 21:00:38 UTC

KML-tiedosto  |  Interaktiivinen kartta

Kartta näyttää meteorin suuntahavainnot. Vaaleammat viivat näyttävät suunnat havaintoasemilta meteorin ilmestyessä, ja tummemmat viivat näyttävät, missä se viimeksi nähtiin. Sininen nuoli näyttää meteorin näkyvän lennon.

static map
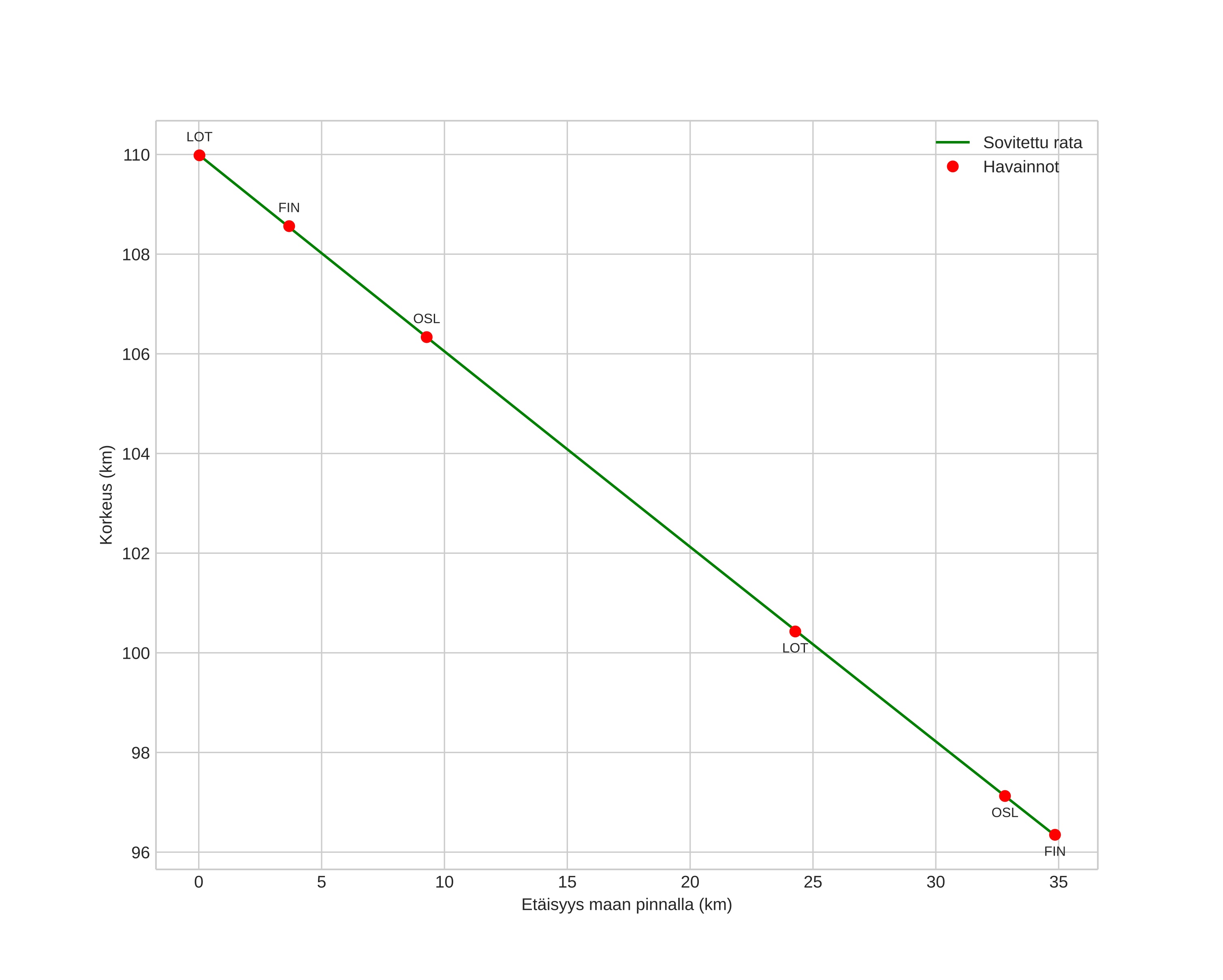
height profile
Meteorin ilmakehärata:
Alkukorkeus: 111,9 km
Loppukorkeus: 96,1 km
Alkupiste: 60,566N 12,346E
Loppupiste: 60,381N 11,744E
Suunta: 238,3°
Kallistuskulma: 22,1°
Tulonopeus: 53,7 km/s
Radiantin R,A,: 14:07 (211,8°)
Radiantin Dekl,: 34,0°
Meteoriparvi: Sporadinen
Meteoroidin rataelementit:
Perihelietäisyys: 0,732 AU
Eksentrisyys: 0,947
Inklinaatio: 92,3°
Nousevan solmun pituus: 318,0°
Perihelin argumentti: 242,0°
Keskianomalia: 359,3°
Epookki: 2025 FEB 06 21:00:38
orbit plot

Ei-interaktiivinen kuvaaja | Interaktiivinen kuvaaja

position vs time
speed and acceleration

Loten (LOT) cam7


gnomonic
Videot:
• Gnomoninen
• Gnomoninen koordinaateilla
• Alkuperäinen
• Alkuperäinen koordinaateilla
Kuvat:
• Gnomoninen
• Gnomoninen koordinaateilla
• Gnomoninen merkinnöillä
• Alkuperäinen
• Alkuperäinen koordinaateilla
Tekstitiedostot:
• Havaintoraportti
• Observaatio
• Koordinaatit
• Loki
Kirkkaus