🇳🇴 🇬🇧 🇩🇪 🇨🇿 🇫🇮

Meteor, poloha: Rena 2025-02-06 21:27:44 UTC

Soubor KML  |  InteraktivnĂ­ mapa

Mapa zobrazuje dráhy meteoru. Světlejší čáry ukazují směry od pozorovacích stanic při objevení se meteoru a tmavší čáry, kde byl naposledy viděn. Modrá šipka značí viditelnou dráhu meteoru.

static map
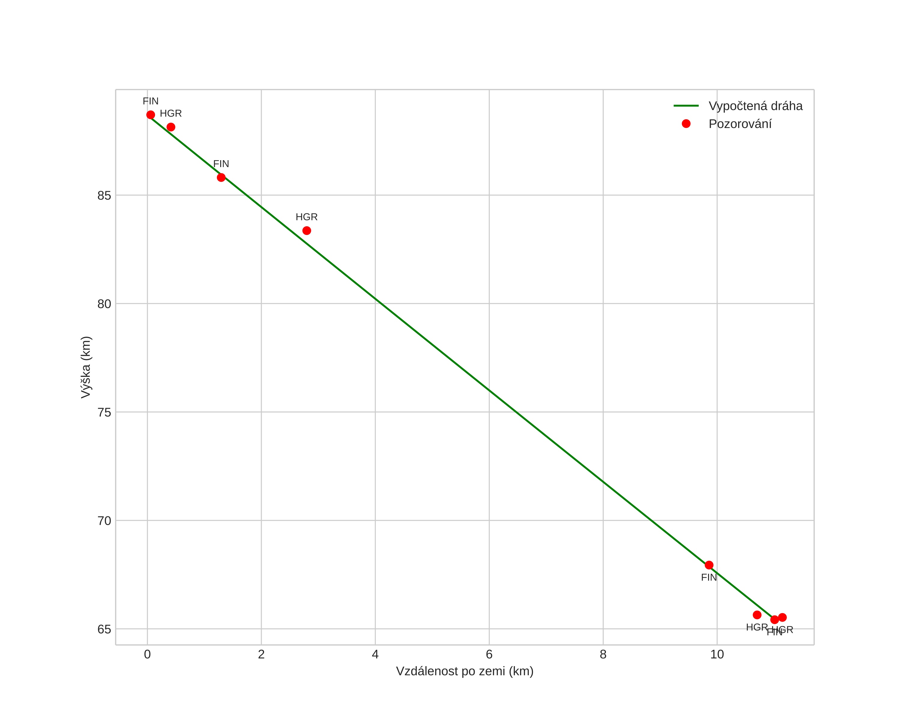
height profile
Atmosférická dráha meteoru:
Počáteční výška: 90,6 km
Konečná výška: 65,3 km
Počáteční poloha: 61,293N 11,335E
Konečná poloha: 61,400N 11,331E
Směr: 359,1°
Sklon: 64,8°
VstupnĂ­ rychlost: 15,5 km/s
Rektascenze radiantu: 07:17 (109,4°)
Deklinace radiantu: 31,5°
MeteorickĂ˝ roj: sporadickĂ˝
Elementy dráhy meteoroidu:
Vzdálenost v periheliu: 0,905 AU
Excentricita: 0,553
Sklon dráhy: 2,8°
Délka vzestupného uzlu: 318,0°
Argument perihelia: 219,8°
Střední anomálie: 349,9°
Epocha: 2025 FEB 06 21:27:44
orbit plot

NeinteraktivnĂ­ graf | InteraktivnĂ­ graf

position vs time
speed and acceleration