🇳🇴 🇬🇧 🇩🇪 🇨🇿 🇫🇮

Meteor Renan yllä 2025-02-06 21:27:44 UTC

KML-tiedosto  |  Interaktiivinen kartta

Kartta näyttää meteorin suuntahavainnot. Vaaleammat viivat näyttävät suunnat havaintoasemilta meteorin ilmestyessä, ja tummemmat viivat näyttävät, missä se viimeksi nähtiin. Sininen nuoli näyttää meteorin näkyvän lennon.

static map
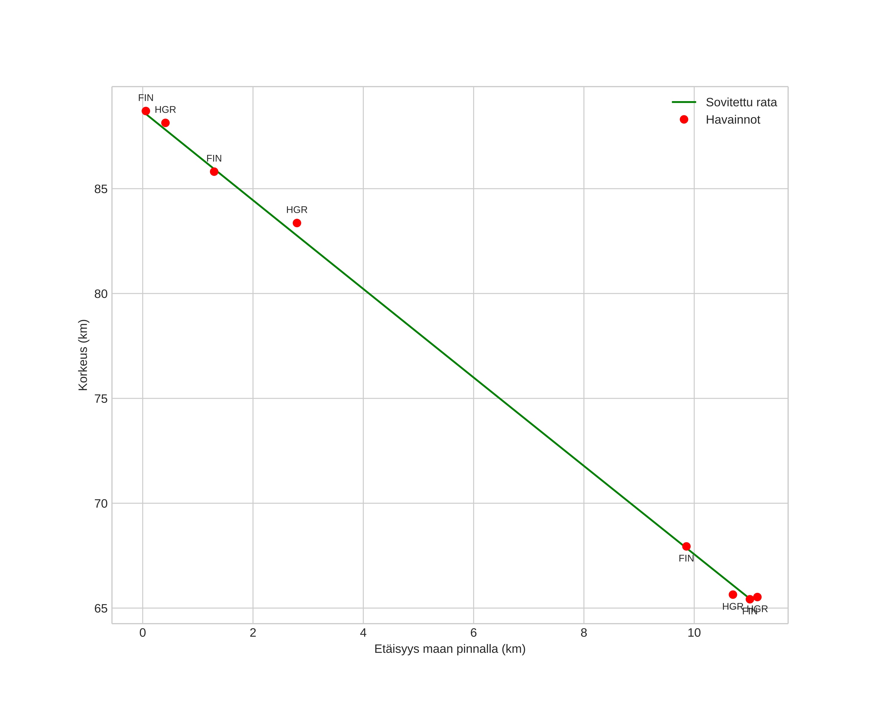
height profile
Meteorin ilmakehärata:
Alkukorkeus: 90,6 km
Loppukorkeus: 65,3 km
Alkupiste: 61,293N 11,335E
Loppupiste: 61,400N 11,331E
Suunta: 359,1°
Kallistuskulma: 64,8°
Tulonopeus: 15,5 km/s
Radiantin R,A,: 07:17 (109,4°)
Radiantin Dekl,: 31,5°
Meteoriparvi: Sporadinen
Meteoroidin rataelementit:
Perihelietäisyys: 0,905 AU
Eksentrisyys: 0,553
Inklinaatio: 2,8°
Nousevan solmun pituus: 318,0°
Perihelin argumentti: 219,8°
Keskianomalia: 349,9°
Epookki: 2025 FEB 06 21:27:44
orbit plot

Ei-interaktiivinen kuvaaja | Interaktiivinen kuvaaja

position vs time
speed and acceleration