🇳🇴 🇬🇧 🇩🇪 🇨🇿 🇫🇮

Meteor, poloha: Malmberget 2025-02-08 17:32:26 UTC

Soubor KML  |  InteraktivnĂ­ mapa

Mapa zobrazuje dráhy meteoru. Světlejší čáry ukazují směry od pozorovacích stanic při objevení se meteoru a tmavší čáry, kde byl naposledy viděn. Modrá šipka značí viditelnou dráhu meteoru.

static map
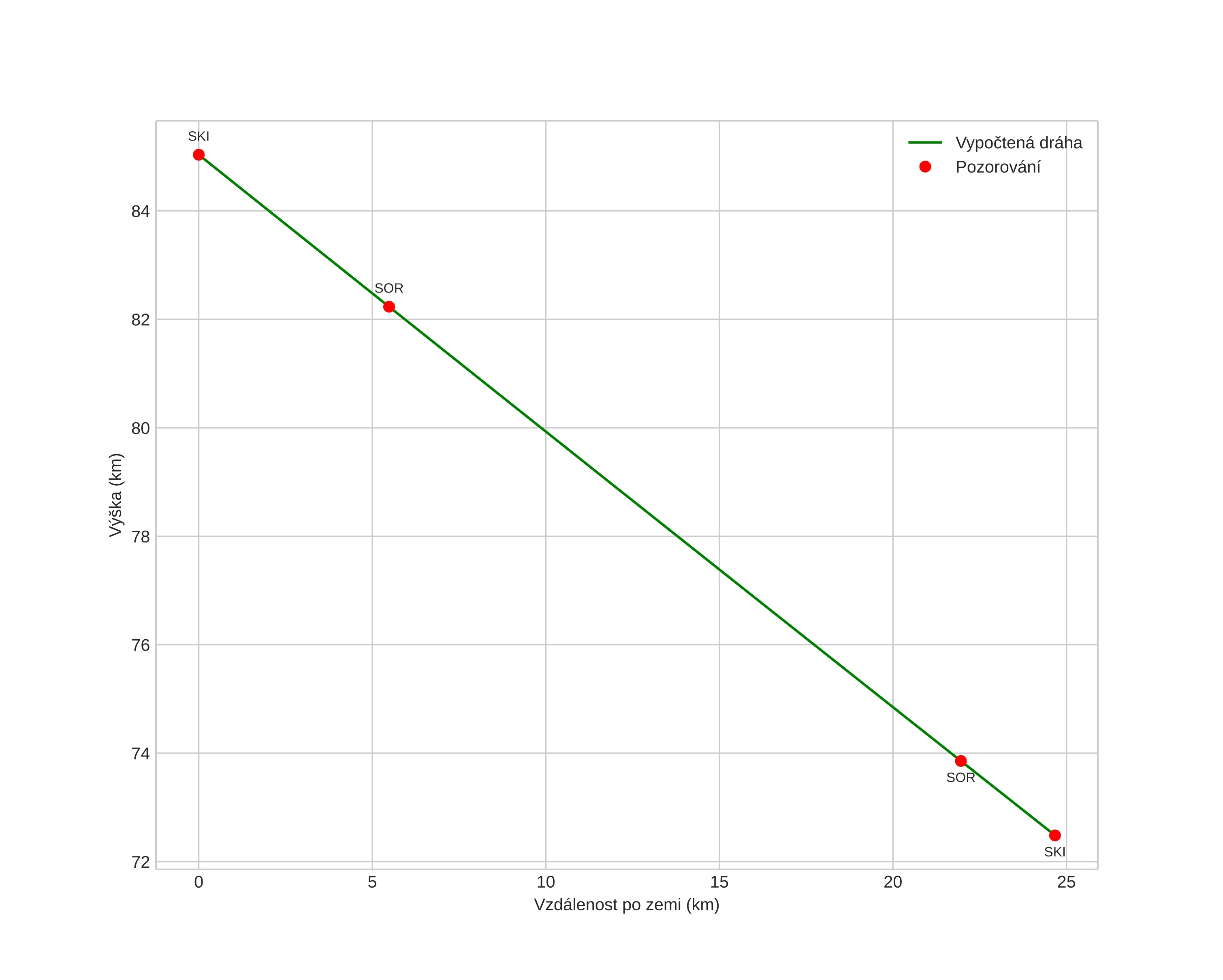
height profile
Atmosférická dráha meteoru:
Počáteční výška: 82,8 km
Konečná výška: 70,8 km
Počáteční poloha: 67,802N 21,277E
Konečná poloha: 67,744N 21,883E
Směr: 103,9°
Sklon: 24,5°
VstupnĂ­ rychlost: 22,4 km/s
Rektascenze radiantu: 21:51 (327,9°)
Deklinace radiantu: 22,8°
MeteorickĂ˝ roj: sporadickĂ˝
Elementy dráhy meteoroidu:
Vzdálenost v periheliu: 0,823 AU
Excentricita: 0,849
Sklon dráhy: 16,9°
Délka vzestupného uzlu: 319,9°
Argument perihelia: 129,8°
Střední anomálie: 2,5°
Epocha: 2025 FEB 08 17:32:26
orbit plot

NeinteraktivnĂ­ graf | InteraktivnĂ­ graf

position vs time
speed and acceleration