🇳🇴 🇬🇧 🇩🇪 🇨🇿 🇫🇮

Meteor Malmbergetin yllä 2025-02-08 17:32:26 UTC

KML-tiedosto  |  Interaktiivinen kartta

Kartta näyttää meteorin suuntahavainnot. Vaaleammat viivat näyttävät suunnat havaintoasemilta meteorin ilmestyessä, ja tummemmat viivat näyttävät, missä se viimeksi nähtiin. Sininen nuoli näyttää meteorin näkyvän lennon.

static map
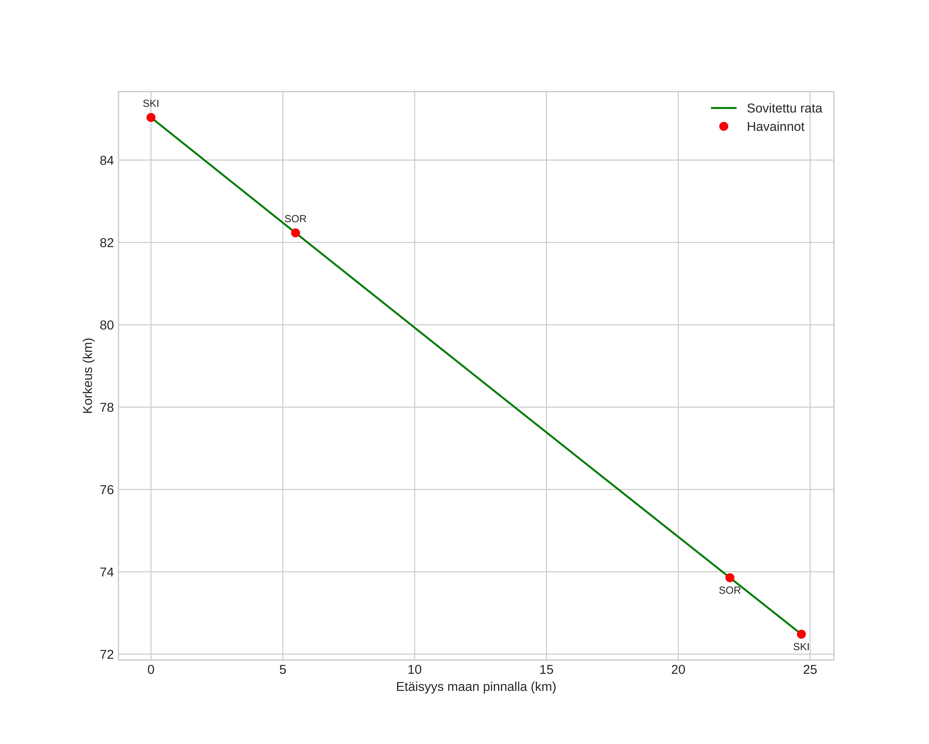
height profile
Meteorin ilmakehärata:
Alkukorkeus: 82,8 km
Loppukorkeus: 70,8 km
Alkupiste: 67,802N 21,277E
Loppupiste: 67,744N 21,883E
Suunta: 103,9°
Kallistuskulma: 24,5°
Tulonopeus: 22,4 km/s
Radiantin R,A,: 21:51 (327,9°)
Radiantin Dekl,: 22,8°
Meteoriparvi: Sporadinen
Meteoroidin rataelementit:
Perihelietäisyys: 0,823 AU
Eksentrisyys: 0,849
Inklinaatio: 16,9°
Nousevan solmun pituus: 319,9°
Perihelin argumentti: 129,8°
Keskianomalia: 2,5°
Epookki: 2025 FEB 08 17:32:26
orbit plot

Ei-interaktiivinen kuvaaja | Interaktiivinen kuvaaja

position vs time
speed and acceleration