🇳🇴 🇬🇧 🇩🇪 🇨🇿 🇫🇮

Meteor, poloha: Siljansnäs 2025-02-10 01:19:05 UTC

Soubor KML

Mapa zobrazuje dráhy meteoru. Světlejší čáry ukazují směry od pozorovacích stanic při objevení se meteoru a tmavší čáry, kde byl naposledy viděn. Modrá šipka značí viditelnou dráhu meteoru.

static map
height profile
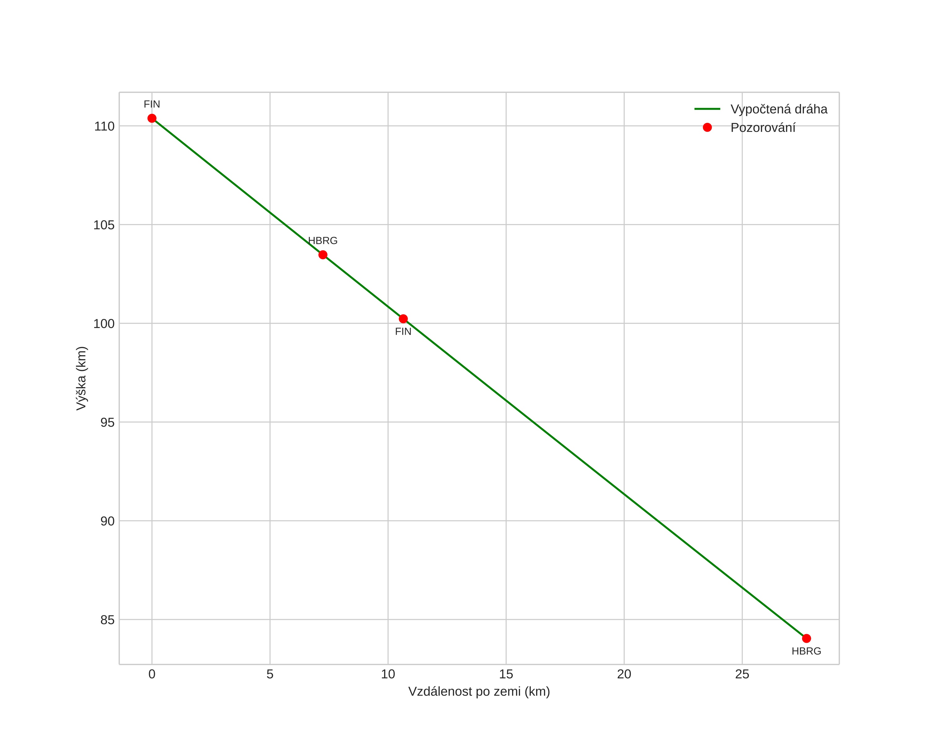
Atmosférická dráha meteoru:
Počáteční výška: 110,4 km
Konečná výška: 84,0 km
Počáteční poloha: 60,586N 15,125E
Konečná poloha: 60,722N 14,700E
Směr: 303,4°
Sklon: 43,6°
Vstupní rychlost: 58,6 km/s
Rektascenze radiantu: 14:25 (216,3°)
Deklinace radiantu: 23,6°
Meteorický roj: sporadický
Elementy dráhy meteoroidu:
Vzdálenost v periheliu: 0,723 AU
Excentricita: 0,898
Sklon dráhy: 109,0°
Délka vzestupného uzlu: 321,2°
Argument perihelia: 244,2°
Střední anomálie: 358,1°
Epocha: 2025 FEB 10 01:19:05
orbit plot

Neinteraktivní graf

position vs time
speed and acceleration