🇳🇴 🇬🇧 🇩🇪 🇨🇿 🇫🇮

Meteor Siljansnäsin yllä 2025-02-10 01:19:05 UTC

KML-tiedosto  |  Interaktiivinen kartta

Kartta näyttää meteorin suuntahavainnot. Vaaleammat viivat näyttävät suunnat havaintoasemilta meteorin ilmestyessä, ja tummemmat viivat näyttävät, missä se viimeksi nähtiin. Sininen nuoli näyttää meteorin näkyvän lennon.

static map
height profile
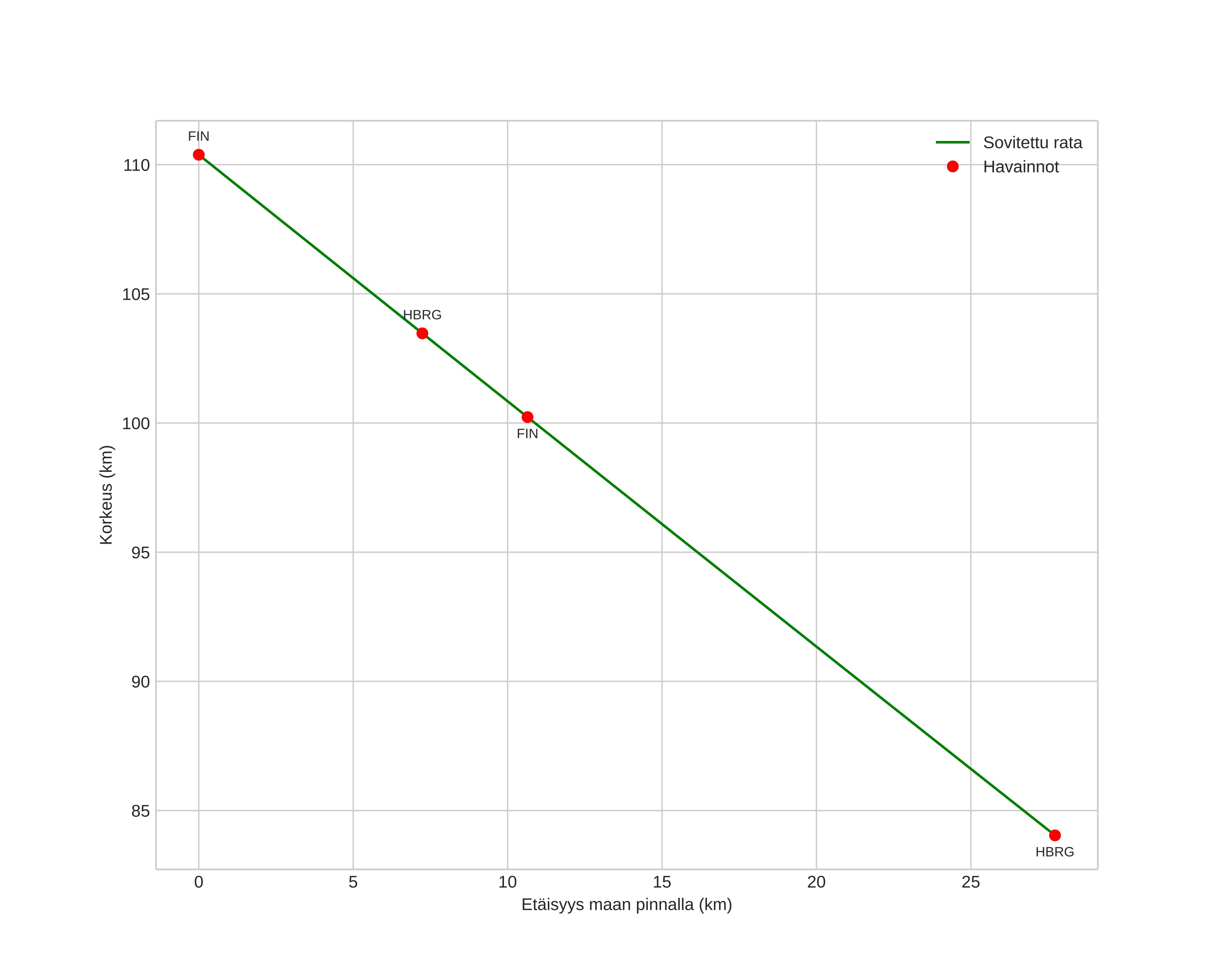
Meteorin ilmakehärata:
Alkukorkeus: 110,4 km
Loppukorkeus: 84,0 km
Alkupiste: 60,586N 15,125E
Loppupiste: 60,722N 14,700E
Suunta: 303,4°
Kallistuskulma: 43,6°
Tulonopeus: 58,6 km/s
Radiantin R,A,: 14:25 (216,3°)
Radiantin Dekl,: 23,6°
Meteoriparvi: Sporadinen
Meteoroidin rataelementit:
Perihelietäisyys: 0,723 AU
Eksentrisyys: 0,898
Inklinaatio: 109,0°
Nousevan solmun pituus: 321,2°
Perihelin argumentti: 244,2°
Keskianomalia: 358,1°
Epookki: 2025 FEB 10 01:19:05
orbit plot

Ei-interaktiivinen kuvaaja | Interaktiivinen kuvaaja

position vs time
speed and acceleration