🇳🇴 🇬🇧 🇩🇪 🇨🇿 🇫🇮

Meteor, poloha: Malung 2025-02-12 05:17:52 UTC

Soubor KML  |  InteraktivnĂ­ mapa

Mapa zobrazuje dráhy meteoru. Světlejší čáry ukazují směry od pozorovacích stanic při objevení se meteoru a tmavší čáry, kde byl naposledy viděn. Modrá šipka značí viditelnou dráhu meteoru.

static map
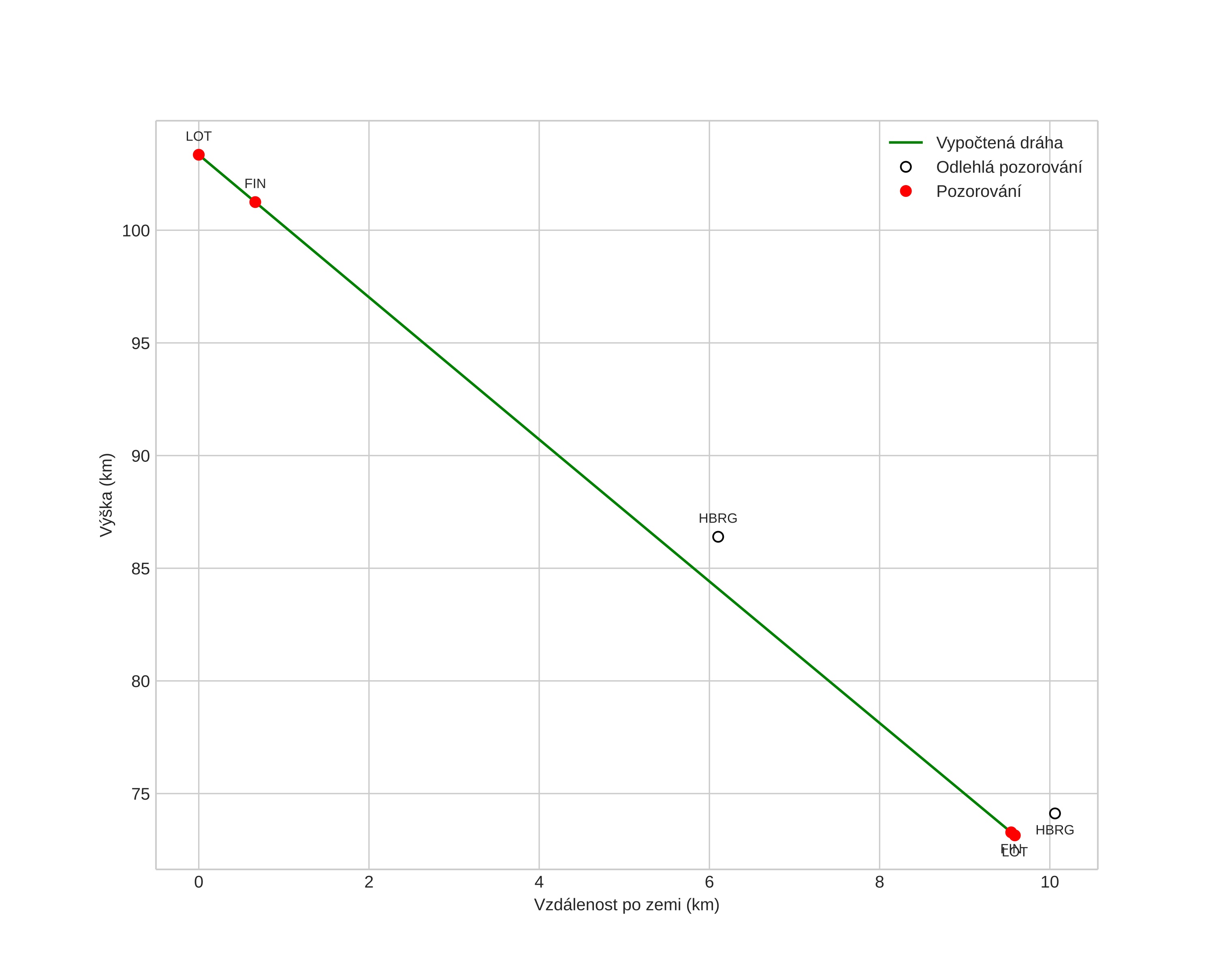
height profile
Atmosférická dráha meteoru:
Počáteční výška: 103,3 km
Konečná výška: 72,8 km
Počáteční poloha: 60,423N 13,687E
Konečná poloha: 60,494N 13,583E
Směr: 323,9°
Sklon: 72,4°
VstupnĂ­ rychlost: 46,3 km/s
Rektascenze radiantu: 16:38 (249,7°)
Deklinace radiantu: 44,8°
MeteorickĂ˝ roj: sporadickĂ˝
Elementy dráhy meteoroidu:
Vzdálenost v periheliu: 0,987 AU
Excentricita: 1,014
Sklon dráhy: 74,1°
Délka vzestupného uzlu: 323,4°
Argument perihelia: 179,2°
Střední anomálie: 0,0°
Epocha: 2025 FEB 12 05:17:52
orbit plot

NeinteraktivnĂ­ graf | InteraktivnĂ­ graf

position vs time
speed and acceleration