🇳🇴 🇬🇧 🇩🇪 🇨🇿 🇫🇮

Meteor Malungin yllä 2025-02-12 05:17:52 UTC

KML-tiedosto  |  Interaktiivinen kartta

Kartta näyttää meteorin suuntahavainnot. Vaaleammat viivat näyttävät suunnat havaintoasemilta meteorin ilmestyessä, ja tummemmat viivat näyttävät, missä se viimeksi nähtiin. Sininen nuoli näyttää meteorin näkyvän lennon.

static map
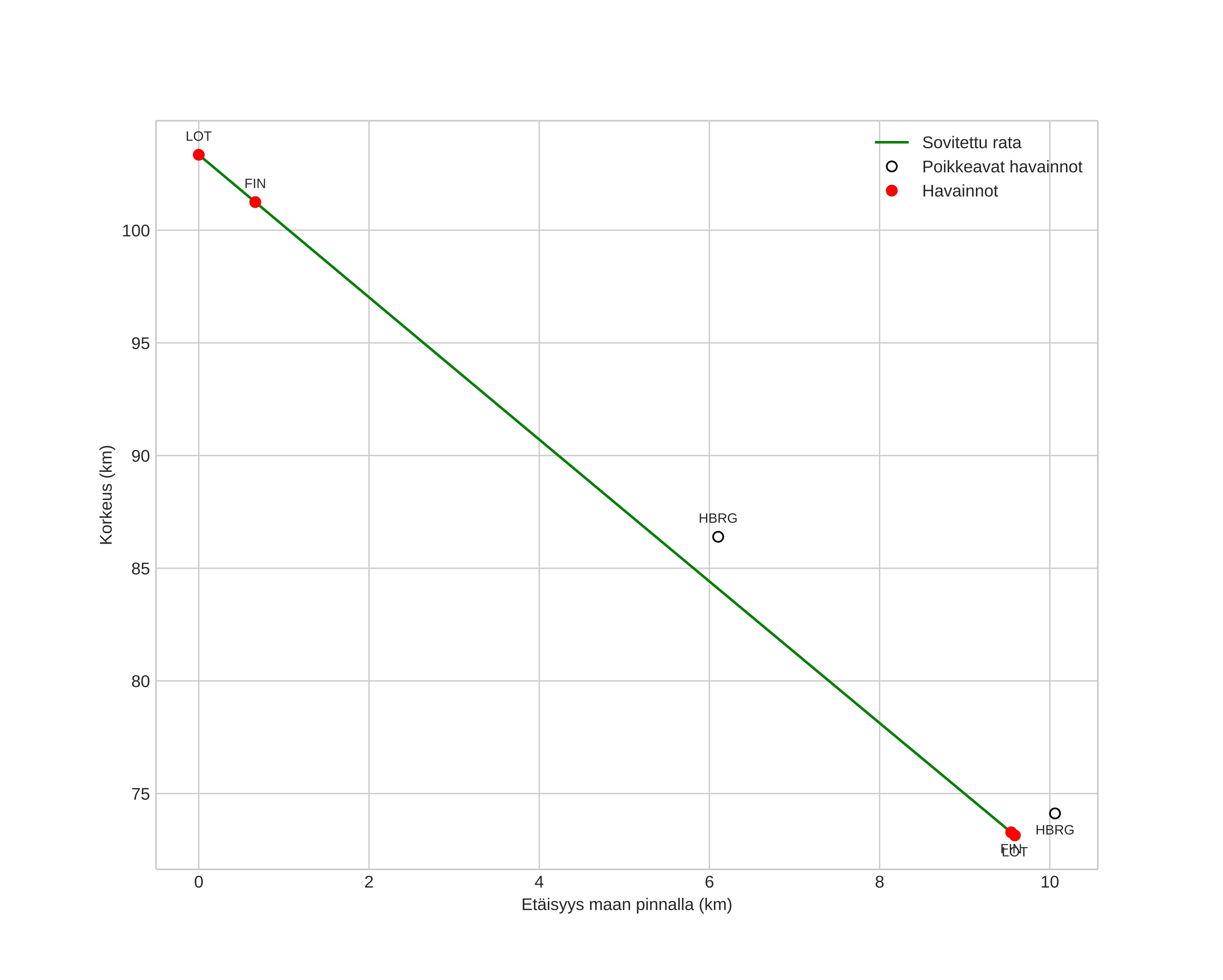
height profile
Meteorin ilmakehärata:
Alkukorkeus: 103,3 km
Loppukorkeus: 72,8 km
Alkupiste: 60,423N 13,687E
Loppupiste: 60,494N 13,583E
Suunta: 323,9°
Kallistuskulma: 72,4°
Tulonopeus: 46,3 km/s
Radiantin R,A,: 16:38 (249,7°)
Radiantin Dekl,: 44,8°
Meteoriparvi: Sporadinen
Meteoroidin rataelementit:
Perihelietäisyys: 0,987 AU
Eksentrisyys: 1,014
Inklinaatio: 74,1°
Nousevan solmun pituus: 323,4°
Perihelin argumentti: 179,2°
Keskianomalia: 0,0°
Epookki: 2025 FEB 12 05:17:52
orbit plot

Ei-interaktiivinen kuvaaja | Interaktiivinen kuvaaja

position vs time
speed and acceleration