🇳🇴 🇬🇧 🇩🇪 🇨🇿 🇫🇮

Meteor, poloha: Rena 2025-02-12 18:58:06 UTC

Soubor KML  |  InteraktivnĂ­ mapa

Mapa zobrazuje dráhy meteoru. Světlejší čáry ukazují směry od pozorovacích stanic při objevení se meteoru a tmavší čáry, kde byl naposledy viděn. Modrá šipka značí viditelnou dráhu meteoru.

static map
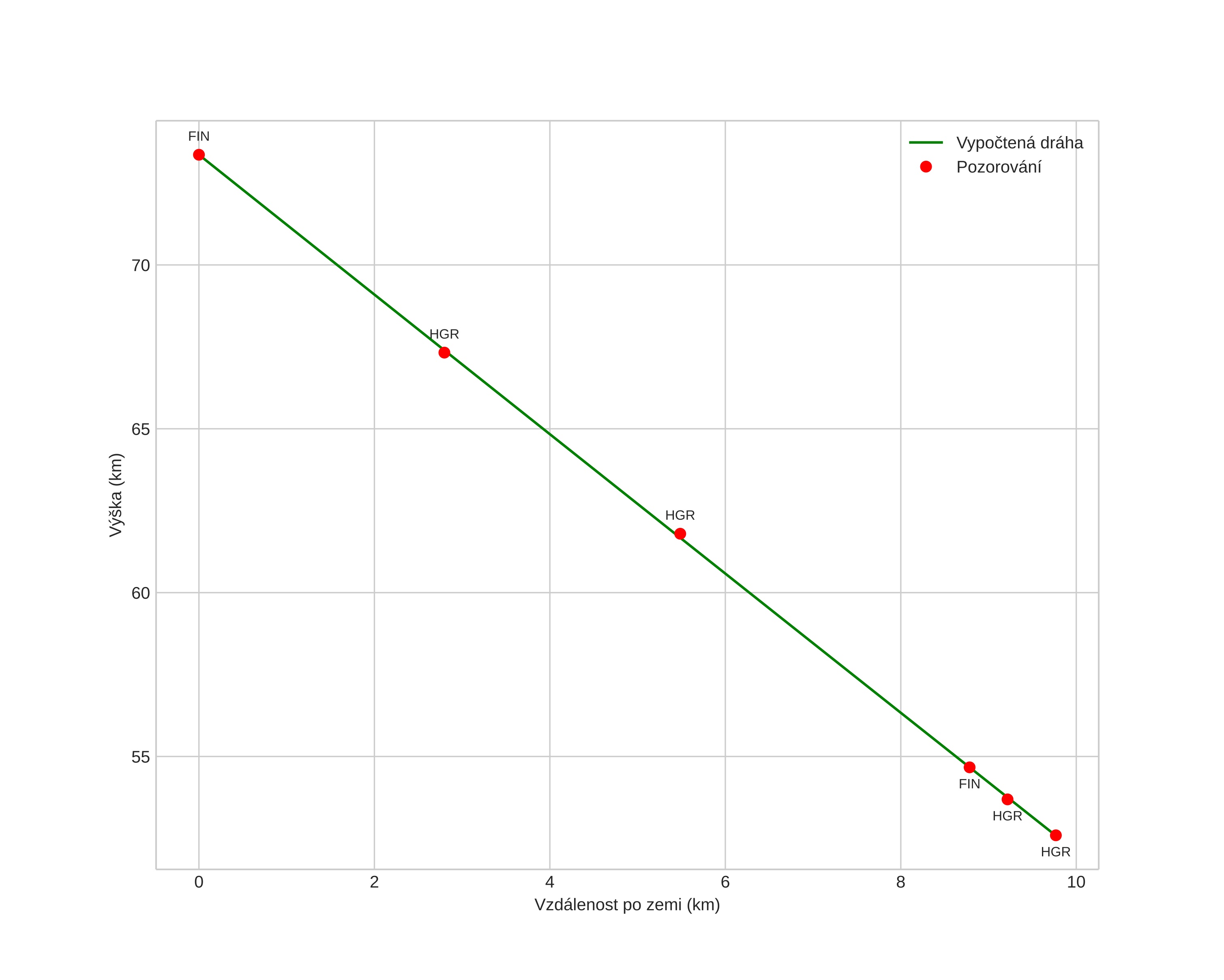
height profile
Atmosférická dráha meteoru:
Počáteční výška: 73,8 km
Konečná výška: 51,5 km
Počáteční poloha: 61,012N 11,268E
Konečná poloha: 61,104N 11,224E
Směr: 347,0°
Sklon: 64,8°
VstupnĂ­ rychlost: 13,6 km/s
Rektascenze radiantu: 05:39 (84,9°)
Deklinace radiantu: 29,3°
MeteorickĂ˝ roj: sporadickĂ˝
Elementy dráhy meteoroidu:
Vzdálenost v periheliu: 0,973 AU
Excentricita: 0,526
Sklon dráhy: 1,3°
Délka vzestupného uzlu: 323,9°
Argument perihelia: 196,9°
Střední anomálie: 355,5°
Epocha: 2025 FEB 12 18:58:06
orbit plot

NeinteraktivnĂ­ graf | InteraktivnĂ­ graf

position vs time
speed and acceleration

Finnskogen (FIN) cam5


gnomonic
Videa
• Gnomonická
• Gnomonická se souřadnicemi
• Původní
• Původní se souřadnicemi
Obrázky
• Gnomonická
• Gnomonická se souřadnicemi
• Gnomonická s popisky
• Původní
• Původní se souřadnicemi
Textové soubory
• Detekce
• Pozorování
• Souřadnice
• Protokol
Jasnost