🇳🇴 🇬🇧 🇩🇪 🇨🇿 🇫🇮

Meteor über Rena 2025-02-12 18:58:06 UTC

KML-Datei  |  Interaktive Karte

Die Karte zeigt die Peilungen für den Meteor. Die helleren Linien zeigen die Richtungen von den Beobachtungsorten beim Erscheinen des Meteors, und die dunkleren Linien, wo er zuletzt gesehen wurde. Der blaue Pfeil zeigt die sichtbare Bahn des Meteors.

static map
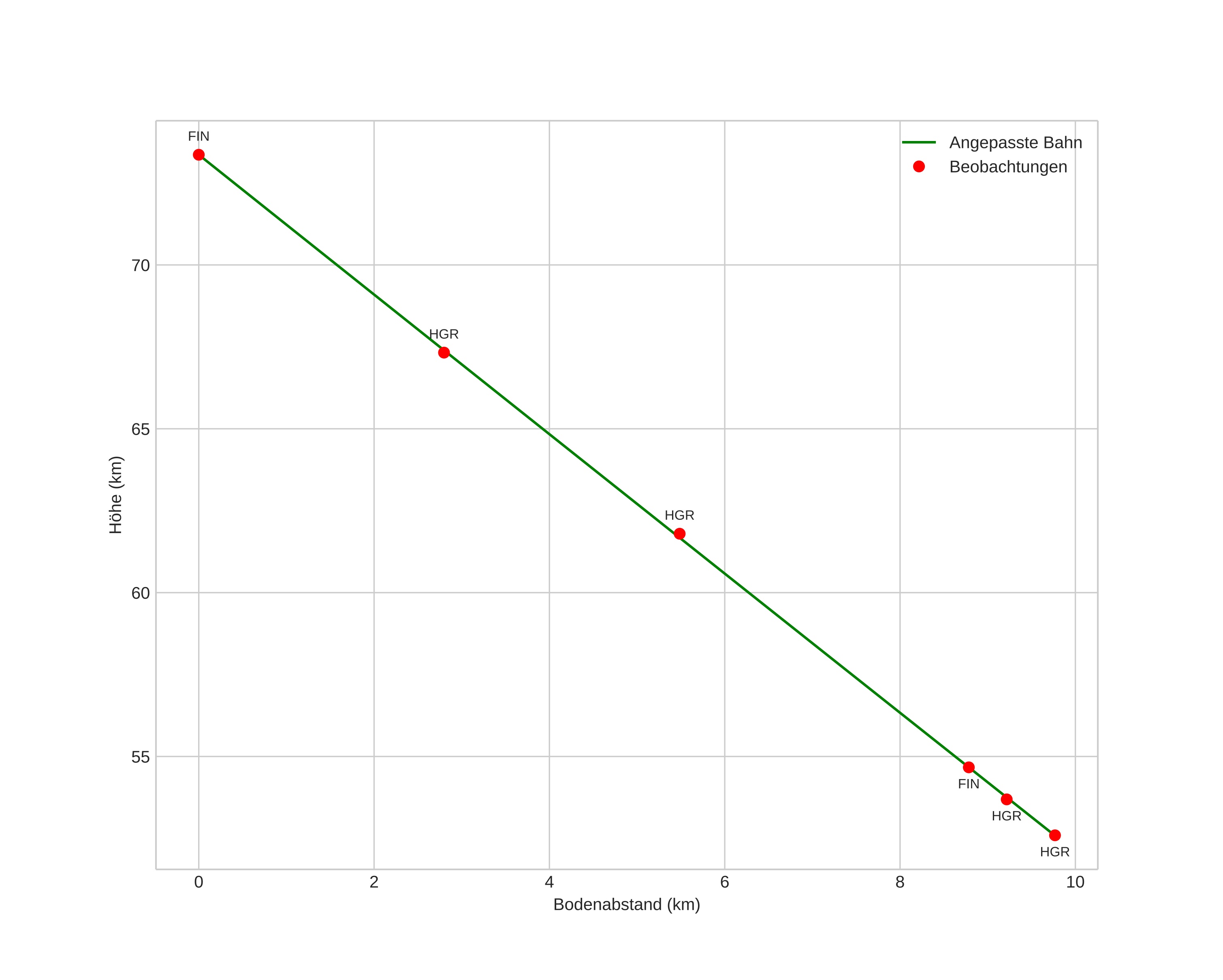
height profile
Atmosphärische Bahn des Meteors:
Anfangshöhe: 73,8 km
Endhöhe: 51,5 km
Startposition: 61,012N 11,268E
Endposition: 61,104N 11,224E
Richtung: 347,0°
Neigungswinkel: 64,8°
Eintrittsgeschwindigkeit: 13,6 km/s
Rektaszension des Radianten: 05:39 (84,9°)
Deklination des Radianten: 29,3°
Meteorstrom: sporadisch
Bahnelemente des Meteoroiden:
Periheldistanz: 0,973 AU
Exzentrizität: 0,526
Inklination: 1,3°
Länge des aufsteigenden Knotens: 323,9°
Argument des Perihels: 196,9°
Mittlere Anomalie: 355,5°
Epoche: 2025 FEB 12 18:58:06
orbit plot

Nicht-interaktives Diagramm | Interaktives Diagramm

position vs time
speed and acceleration

Finnskogen (FIN) cam5


gnomonic
Videos
• Gnomonisch
• Gnomonisch mit Koordinaten
• Original
• Original mit Koordinaten
Bilder
• Gnomonisch
• Gnomonisch mit Koordinaten
• Gnomonisch mit Beschriftungen
• Original
• Original mit Koordinaten
Textdateien
• Erkennung
• Beobachtung
• Koordinaten
• Protokoll
Helligkeit