🇳🇴 🇬🇧 🇩🇪 🇨🇿 🇫🇮

Meteor, poloha: Storsteinnes 2025-02-14 19:43:08 UTC

Soubor KML  |  InteraktivnĂ­ mapa

Mapa zobrazuje dráhy meteoru. Světlejší čáry ukazují směry od pozorovacích stanic při objevení se meteoru a tmavší čáry, kde byl naposledy viděn. Modrá šipka značí viditelnou dráhu meteoru.

static map
height profile
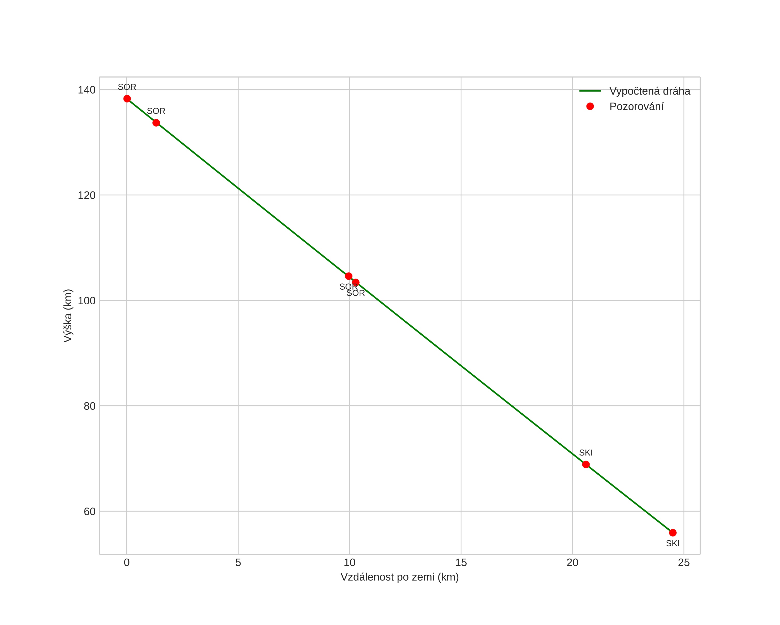
Atmosférická dráha meteoru:
Počáteční výška: 139,9 km
Konečná výška: 54,9 km
Počáteční poloha: 69,531N 19,178E
Konečná poloha: 69,305N 19,234E
Směr: 175,0°
Sklon: 73,5°
VstupnĂ­ rychlost: 21,6 km/s
Rektascenze radiantu: 04:11 (62,8°)
Deklinace radiantu: 86,4°
MeteorickĂ˝ roj: sporadickĂ˝
Elementy dráhy meteoroidu:
Vzdálenost v periheliu: 0,978 AU
Excentricita: 0,875
Sklon dráhy: 23,9°
Délka vzestupného uzlu: 326,0°
Argument perihelia: 191,6°
Střední anomálie: 359,6°
Epocha: 2025 FEB 14 19:43:08
orbit plot

NeinteraktivnĂ­ graf | InteraktivnĂ­ graf

position vs time
speed and acceleration