🇳🇴 🇬🇧 🇩🇪 🇨🇿 🇫🇮

Meteor Storsteinnesin yllä 2025-02-14 19:43:08 UTC

KML-tiedosto  |  Interaktiivinen kartta

Kartta näyttää meteorin suuntahavainnot. Vaaleammat viivat näyttävät suunnat havaintoasemilta meteorin ilmestyessä, ja tummemmat viivat näyttävät, missä se viimeksi nähtiin. Sininen nuoli näyttää meteorin näkyvän lennon.

static map
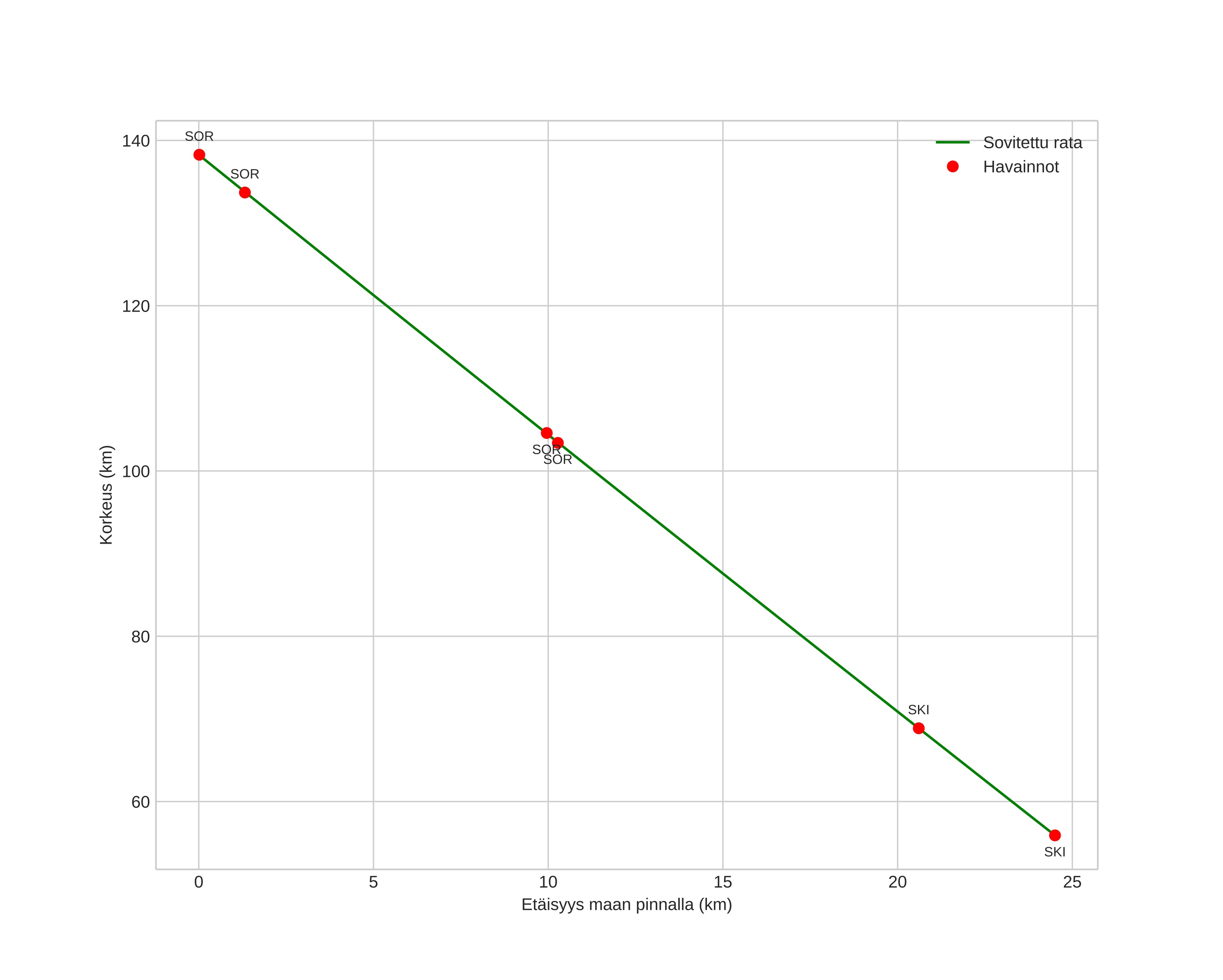
height profile
Meteorin ilmakehärata:
Alkukorkeus: 139,9 km
Loppukorkeus: 54,9 km
Alkupiste: 69,531N 19,178E
Loppupiste: 69,305N 19,234E
Suunta: 175,0°
Kallistuskulma: 73,5°
Tulonopeus: 21,6 km/s
Radiantin R,A,: 04:11 (62,8°)
Radiantin Dekl,: 86,4°
Meteoriparvi: Sporadinen
Meteoroidin rataelementit:
Perihelietäisyys: 0,978 AU
Eksentrisyys: 0,875
Inklinaatio: 23,9°
Nousevan solmun pituus: 326,0°
Perihelin argumentti: 191,6°
Keskianomalia: 359,6°
Epookki: 2025 FEB 14 19:43:08
orbit plot

Ei-interaktiivinen kuvaaja | Interaktiivinen kuvaaja

position vs time
speed and acceleration