🇳🇴 🇬🇧 🇩🇪 🇨🇿 🇫🇮

Meteor, poloha: Lena 2025-02-15 23:01:13 UTC

Soubor KML  |  InteraktivnĂ­ mapa

Mapa zobrazuje dráhy meteoru. Světlejší čáry ukazují směry od pozorovacích stanic při objevení se meteoru a tmavší čáry, kde byl naposledy viděn. Modrá šipka značí viditelnou dráhu meteoru.

static map
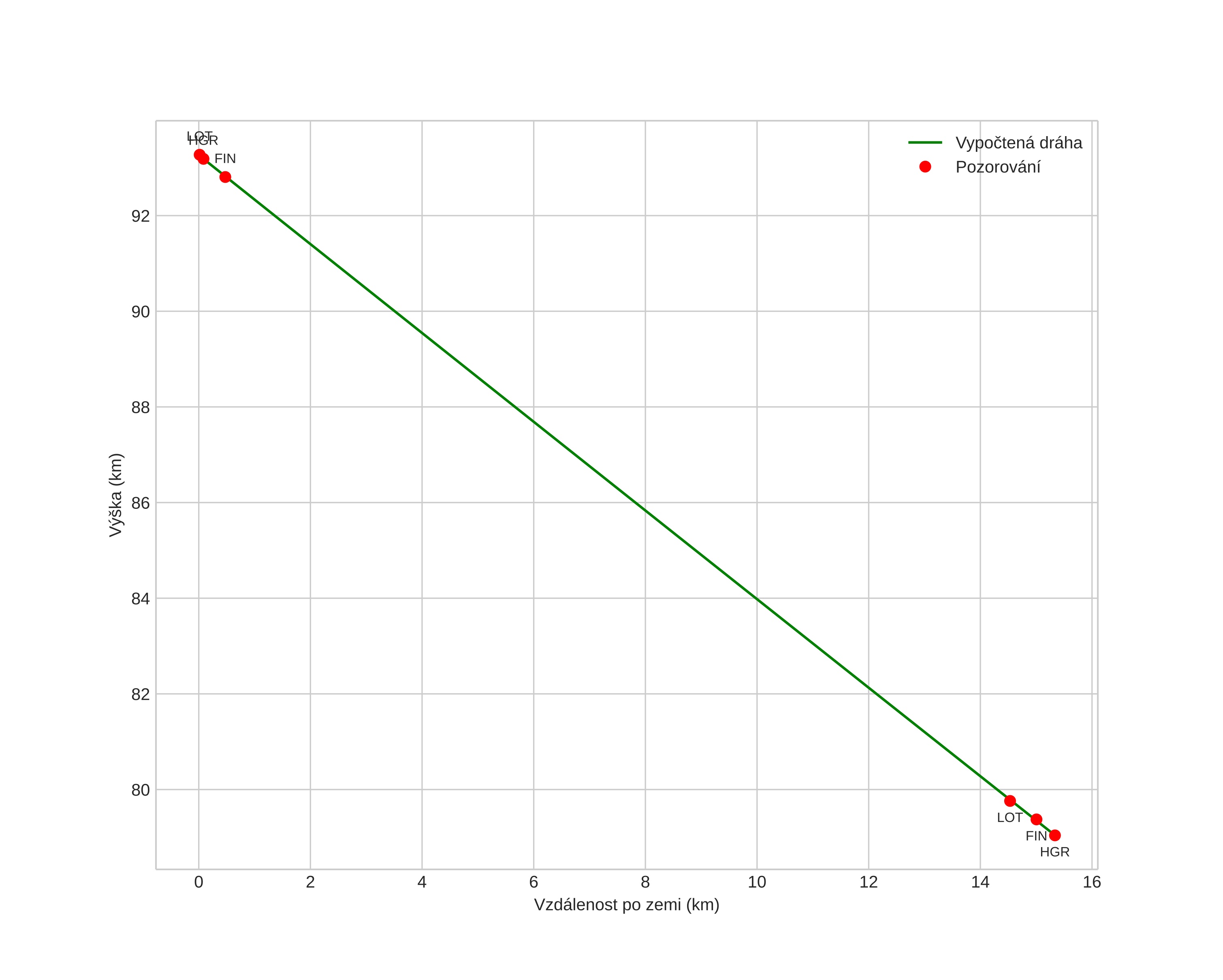
height profile
Atmosférická dráha meteoru:
Počáteční výška: 94,8 km
Konečná výška: 78,9 km
Počáteční poloha: 60,712N 10,644E
Konečná poloha: 60,565N 10,717E
Směr: 166,3°
Sklon: 43,4°
VstupnĂ­ rychlost: 19,4 km/s
Rektascenze radiantu: 23:23 (350,8°)
Deklinace radiantu: 65,8°
MeteorickĂ˝ roj: sporadickĂ˝
Elementy dráhy meteoroidu:
Vzdálenost v periheliu: 0,981 AU
Excentricita: 0,807
Sklon dráhy: 20,1°
Délka vzestupného uzlu: 327,2°
Argument perihelia: 169,9°
Střední anomálie: 0,6°
Epocha: 2025 FEB 15 23:01:13
orbit plot

NeinteraktivnĂ­ graf | InteraktivnĂ­ graf

position vs time
speed and acceleration