🇳🇴 🇬🇧 🇩🇪 🇨🇿 🇫🇮

Meteor Lenan yllä 2025-02-15 23:01:13 UTC

KML-tiedosto  |  Interaktiivinen kartta

Kartta näyttää meteorin suuntahavainnot. Vaaleammat viivat näyttävät suunnat havaintoasemilta meteorin ilmestyessä, ja tummemmat viivat näyttävät, missä se viimeksi nähtiin. Sininen nuoli näyttää meteorin näkyvän lennon.

static map
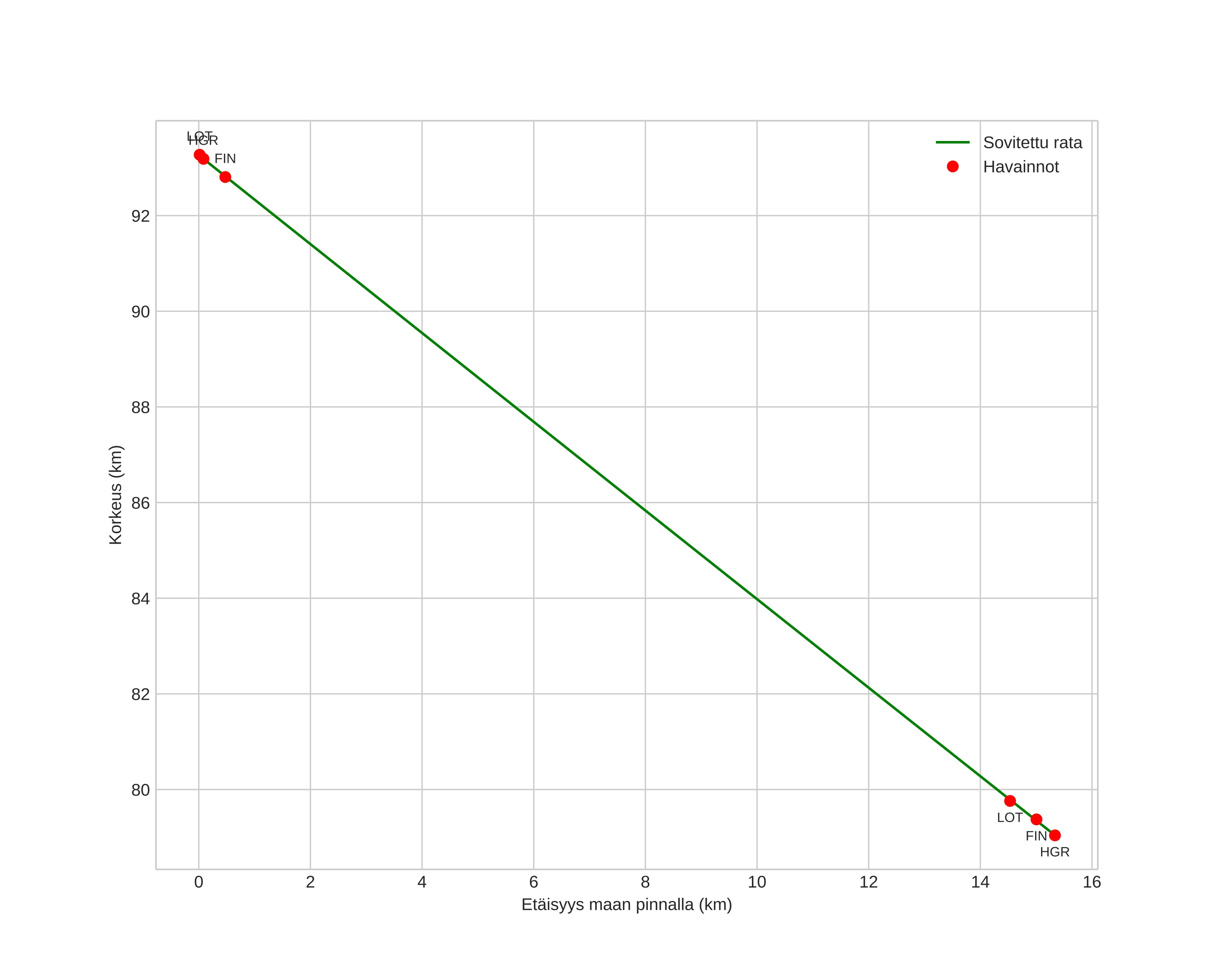
height profile
Meteorin ilmakehärata:
Alkukorkeus: 94,8 km
Loppukorkeus: 78,9 km
Alkupiste: 60,712N 10,644E
Loppupiste: 60,565N 10,717E
Suunta: 166,3°
Kallistuskulma: 43,4°
Tulonopeus: 19,4 km/s
Radiantin R,A,: 23:23 (350,8°)
Radiantin Dekl,: 65,8°
Meteoriparvi: Sporadinen
Meteoroidin rataelementit:
Perihelietäisyys: 0,981 AU
Eksentrisyys: 0,807
Inklinaatio: 20,1°
Nousevan solmun pituus: 327,2°
Perihelin argumentti: 169,9°
Keskianomalia: 0,6°
Epookki: 2025 FEB 15 23:01:13
orbit plot

Ei-interaktiivinen kuvaaja | Interaktiivinen kuvaaja

position vs time
speed and acceleration