🇳🇴 🇬🇧 🇩🇪 🇨🇿 🇫🇮

Meteor, poloha: Töreboda 2025-02-15 23:10:13 UTC

Soubor KML  |  InteraktivnĂ­ mapa

Mapa zobrazuje dráhy meteoru. Světlejší čáry ukazují směry od pozorovacích stanic při objevení se meteoru a tmavší čáry, kde byl naposledy viděn. Modrá šipka značí viditelnou dráhu meteoru.

static map
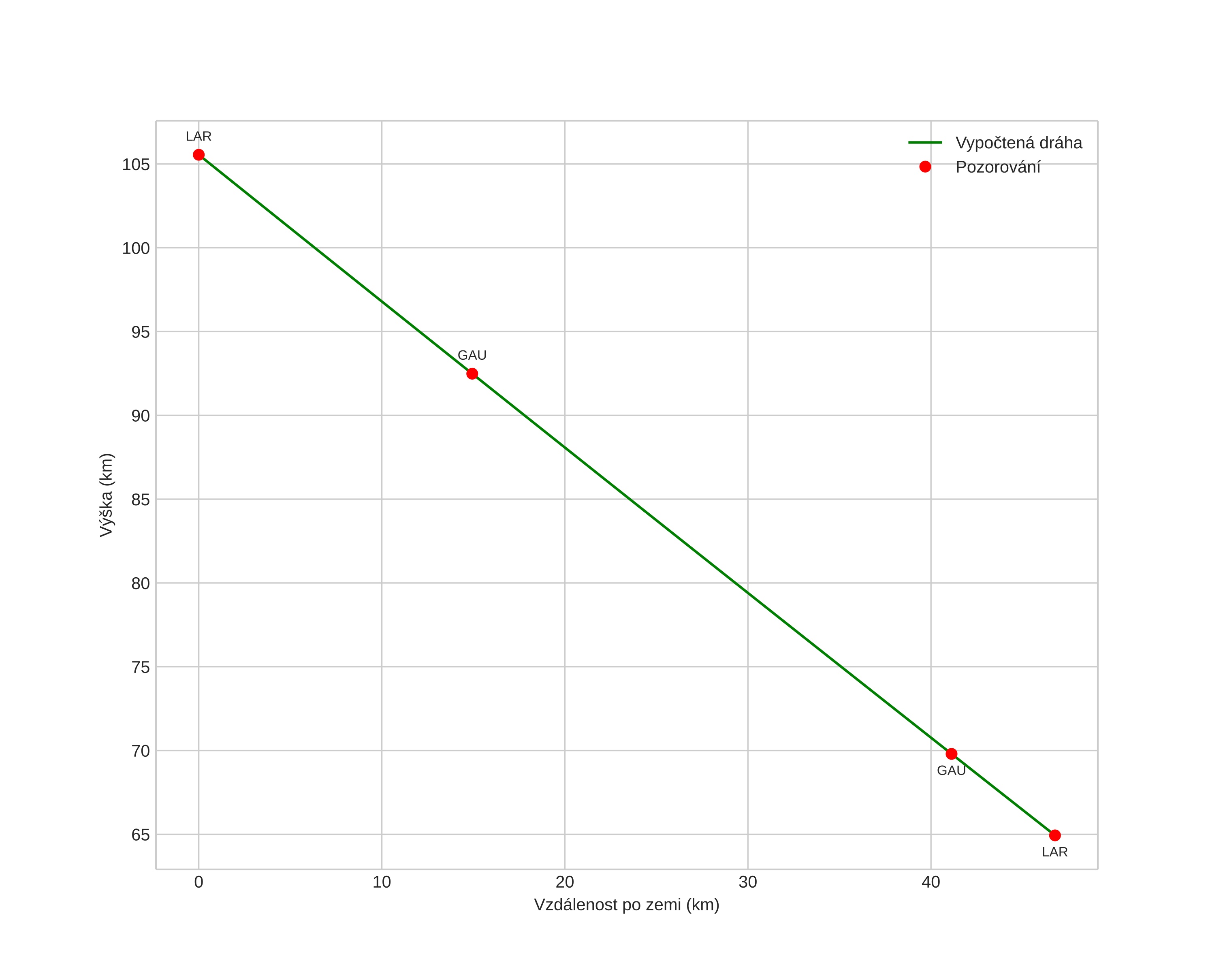
height profile
Atmosférická dráha meteoru:
Počáteční výška: 107,4 km
Konečná výška: 66,2 km
Počáteční poloha: 58,333N 14,590E
Konečná poloha: 58,712N 14,264E
Směr: 336,0°
Sklon: 41,7°
VstupnĂ­ rychlost: 37,3 km/s
Rektascenze radiantu: 11:03 (165,9°)
Deklinace radiantu: 11,0°
MeteorickĂ˝ roj: sporadickĂ˝
Elementy dráhy meteoroidu:
Vzdálenost v periheliu: 0,246 AU
Excentricita: 0,937
Sklon dráhy: 7,8°
Délka vzestupného uzlu: 327,2°
Argument perihelia: 303,6°
Střední anomálie: 355,3°
Epocha: 2025 FEB 15 23:10:13
orbit plot

NeinteraktivnĂ­ graf | InteraktivnĂ­ graf

position vs time
speed and acceleration