🇳🇴 🇬🇧 🇩🇪 🇨🇿 🇫🇮

Meteor Törebodan yllä 2025-02-15 23:10:13 UTC

KML-tiedosto  |  Interaktiivinen kartta

Kartta näyttää meteorin suuntahavainnot. Vaaleammat viivat näyttävät suunnat havaintoasemilta meteorin ilmestyessä, ja tummemmat viivat näyttävät, missä se viimeksi nähtiin. Sininen nuoli näyttää meteorin näkyvän lennon.

static map
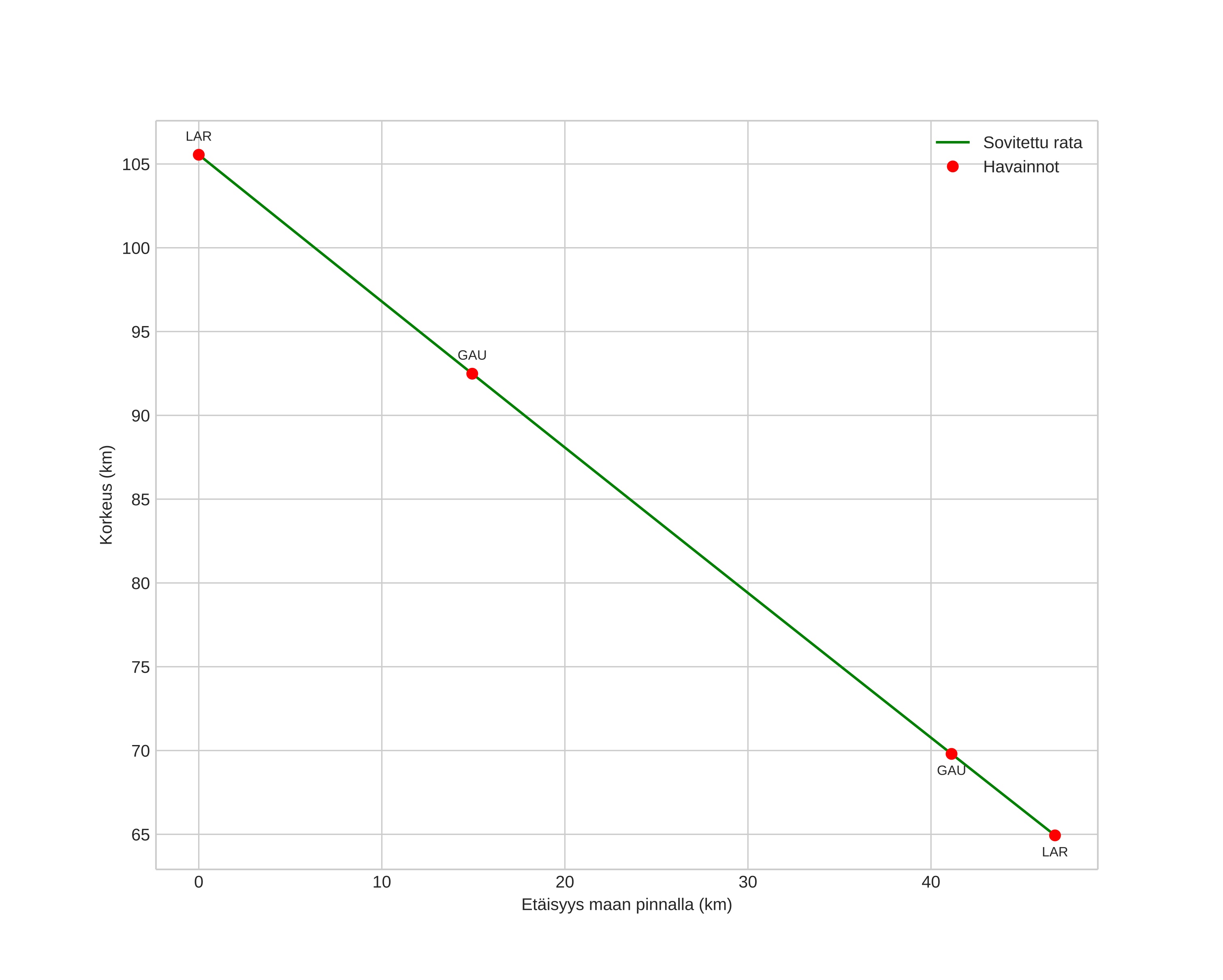
height profile
Meteorin ilmakehärata:
Alkukorkeus: 107,4 km
Loppukorkeus: 66,2 km
Alkupiste: 58,333N 14,590E
Loppupiste: 58,712N 14,264E
Suunta: 336,0°
Kallistuskulma: 41,7°
Tulonopeus: 37,3 km/s
Radiantin R,A,: 11:03 (165,9°)
Radiantin Dekl,: 11,0°
Meteoriparvi: Sporadinen
Meteoroidin rataelementit:
Perihelietäisyys: 0,246 AU
Eksentrisyys: 0,937
Inklinaatio: 7,8°
Nousevan solmun pituus: 327,2°
Perihelin argumentti: 303,6°
Keskianomalia: 355,3°
Epookki: 2025 FEB 15 23:10:13
orbit plot

Ei-interaktiivinen kuvaaja | Interaktiivinen kuvaaja

position vs time
speed and acceleration