🇳🇴 🇬🇧 🇩🇪 🇨🇿 🇫🇮

Meteor, poloha: Segalstad bru 2025-02-16 04:24:23 UTC

Soubor KML  |  InteraktivnĂ­ mapa

Mapa zobrazuje dráhy meteoru. Světlejší čáry ukazují směry od pozorovacích stanic při objevení se meteoru a tmavší čáry, kde byl naposledy viděn. Modrá šipka značí viditelnou dráhu meteoru.

static map
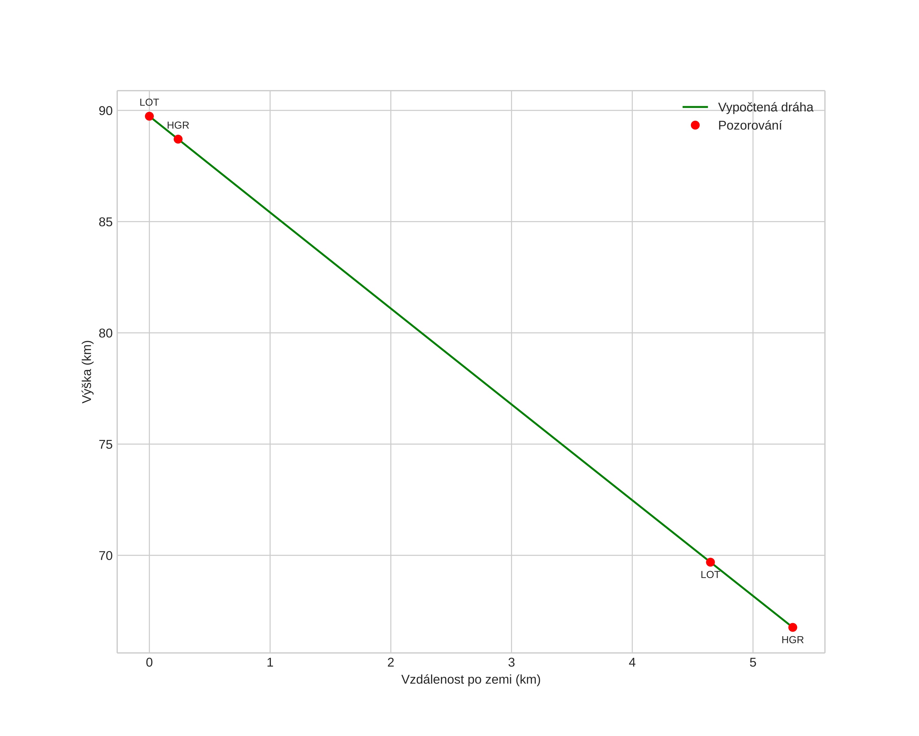
height profile
Atmosférická dráha meteoru:
Počáteční výška: 89,8 km
Konečná výška: 66,4 km
Počáteční poloha: 61,246N 10,170E
Konečná poloha: 61,195N 10,176E
Směr: 176,9°
Sklon: 76,5°
VstupnĂ­ rychlost: 23,8 km/s
Rektascenze radiantu: 14:29 (217,3°)
Deklinace radiantu: 75,5°
MeteorickĂ˝ roj: sporadickĂ˝
Elementy dráhy meteoroidu:
Vzdálenost v periheliu: 0,958 AU
Excentricita: 0,650
Sklon dráhy: 31,7°
Délka vzestupného uzlu: 327,4°
Argument perihelia: 202,7°
Střední anomálie: 356,3°
Epocha: 2025 FEB 16 04:24:23
orbit plot

NeinteraktivnĂ­ graf | InteraktivnĂ­ graf

position vs time
speed and acceleration