🇳🇴 🇬🇧 🇩🇪 🇨🇿 🇫🇮

Meteor Segalstad brun yllä 2025-02-16 04:24:23 UTC

KML-tiedosto  |  Interaktiivinen kartta

Kartta näyttää meteorin suuntahavainnot. Vaaleammat viivat näyttävät suunnat havaintoasemilta meteorin ilmestyessä, ja tummemmat viivat näyttävät, missä se viimeksi nähtiin. Sininen nuoli näyttää meteorin näkyvän lennon.

static map
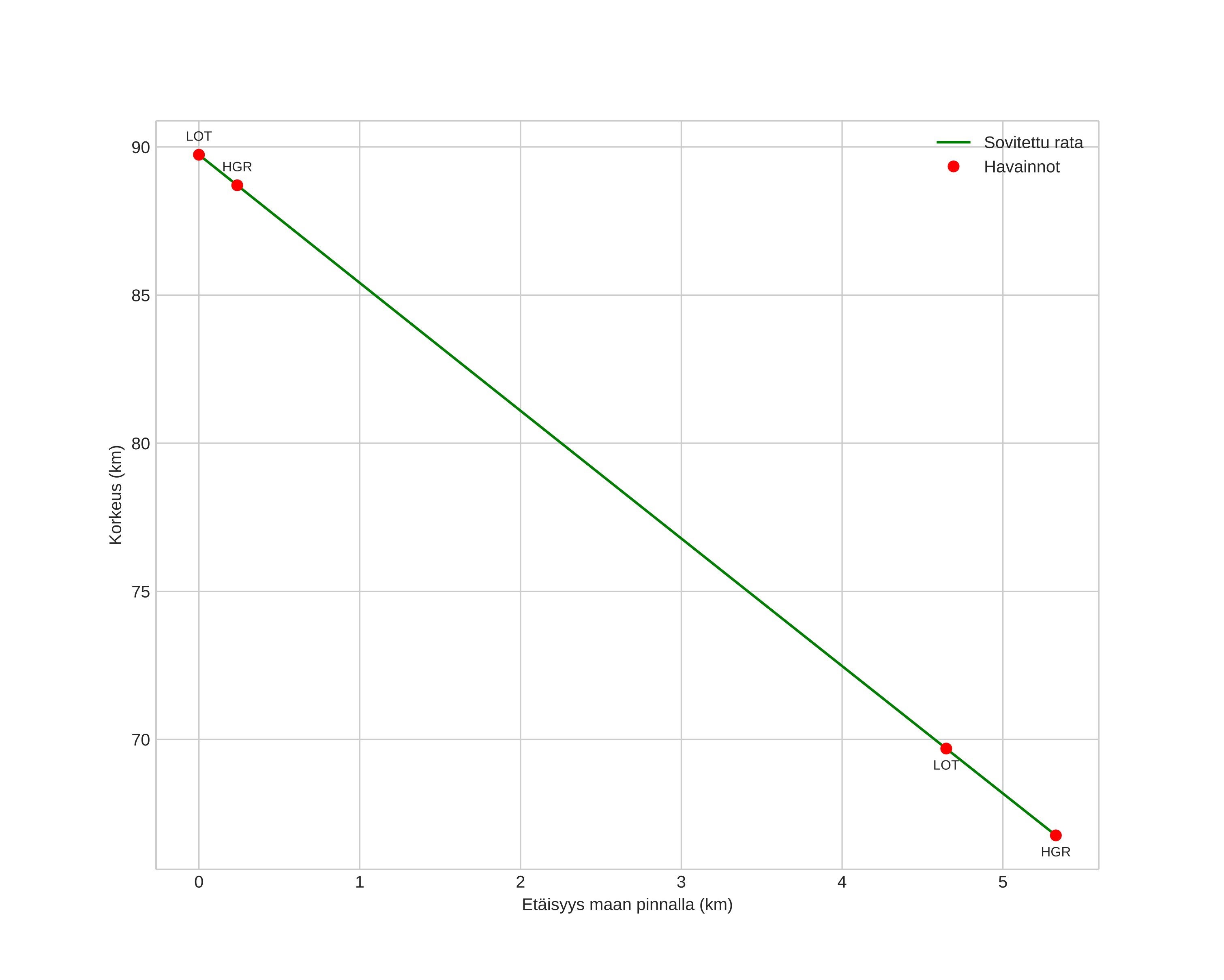
height profile
Meteorin ilmakehärata:
Alkukorkeus: 89,8 km
Loppukorkeus: 66,4 km
Alkupiste: 61,246N 10,170E
Loppupiste: 61,195N 10,176E
Suunta: 176,9°
Kallistuskulma: 76,5°
Tulonopeus: 23,8 km/s
Radiantin R,A,: 14:29 (217,3°)
Radiantin Dekl,: 75,5°
Meteoriparvi: Sporadinen
Meteoroidin rataelementit:
Perihelietäisyys: 0,958 AU
Eksentrisyys: 0,650
Inklinaatio: 31,7°
Nousevan solmun pituus: 327,4°
Perihelin argumentti: 202,7°
Keskianomalia: 356,3°
Epookki: 2025 FEB 16 04:24:23
orbit plot

Ei-interaktiivinen kuvaaja | Interaktiivinen kuvaaja

position vs time
speed and acceleration