🇳🇴 🇬🇧 🇩🇪 🇨🇿 🇫🇮

Meteor, poloha: Sand 2025-02-16 19:27:20 UTC

Soubor KML  |  InteraktivnĂ­ mapa

Mapa zobrazuje dráhy meteoru. Světlejší čáry ukazují směry od pozorovacích stanic při objevení se meteoru a tmavší čáry, kde byl naposledy viděn. Modrá šipka značí viditelnou dráhu meteoru.

static map
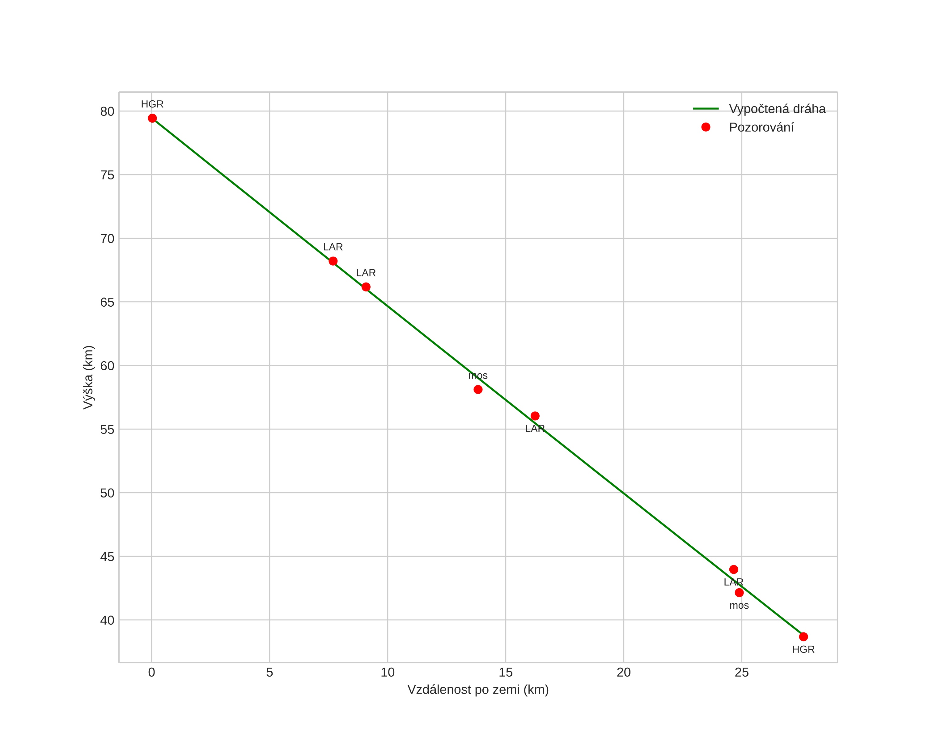
height profile
Atmosférická dráha meteoru:
Počáteční výška: 80,4 km
Konečná výška: 39,0 km
Počáteční poloha: 60,288N 12,050E
Konečná poloha: 60,480N 11,720E
Směr: 319,7°
Sklon: 55,9°
VstupnĂ­ rychlost: 13,5 km/s
Rektascenze radiantu: 07:51 (118,0°)
Deklinace radiantu: 21,6°
MeteorickĂ˝ roj: sporadickĂ˝
Elementy dráhy meteoroidu:
Vzdálenost v periheliu: 0,932 AU
Excentricita: 0,375
Sklon dráhy: 0,1°
Délka vzestupného uzlu: 327,4°
Argument perihelia: 218,1°
Střední anomálie: 343,6°
Epocha: 2025 FEB 16 19:27:20
orbit plot

NeinteraktivnĂ­ graf | InteraktivnĂ­ graf

position vs time
speed and acceleration