🇳🇴 🇬🇧 🇩🇪 🇨🇿 🇫🇮

Meteor Sandin yllä 2025-02-16 19:27:20 UTC

KML-tiedosto  |  Interaktiivinen kartta

Kartta näyttää meteorin suuntahavainnot. Vaaleammat viivat näyttävät suunnat havaintoasemilta meteorin ilmestyessä, ja tummemmat viivat näyttävät, missä se viimeksi nähtiin. Sininen nuoli näyttää meteorin näkyvän lennon.

static map
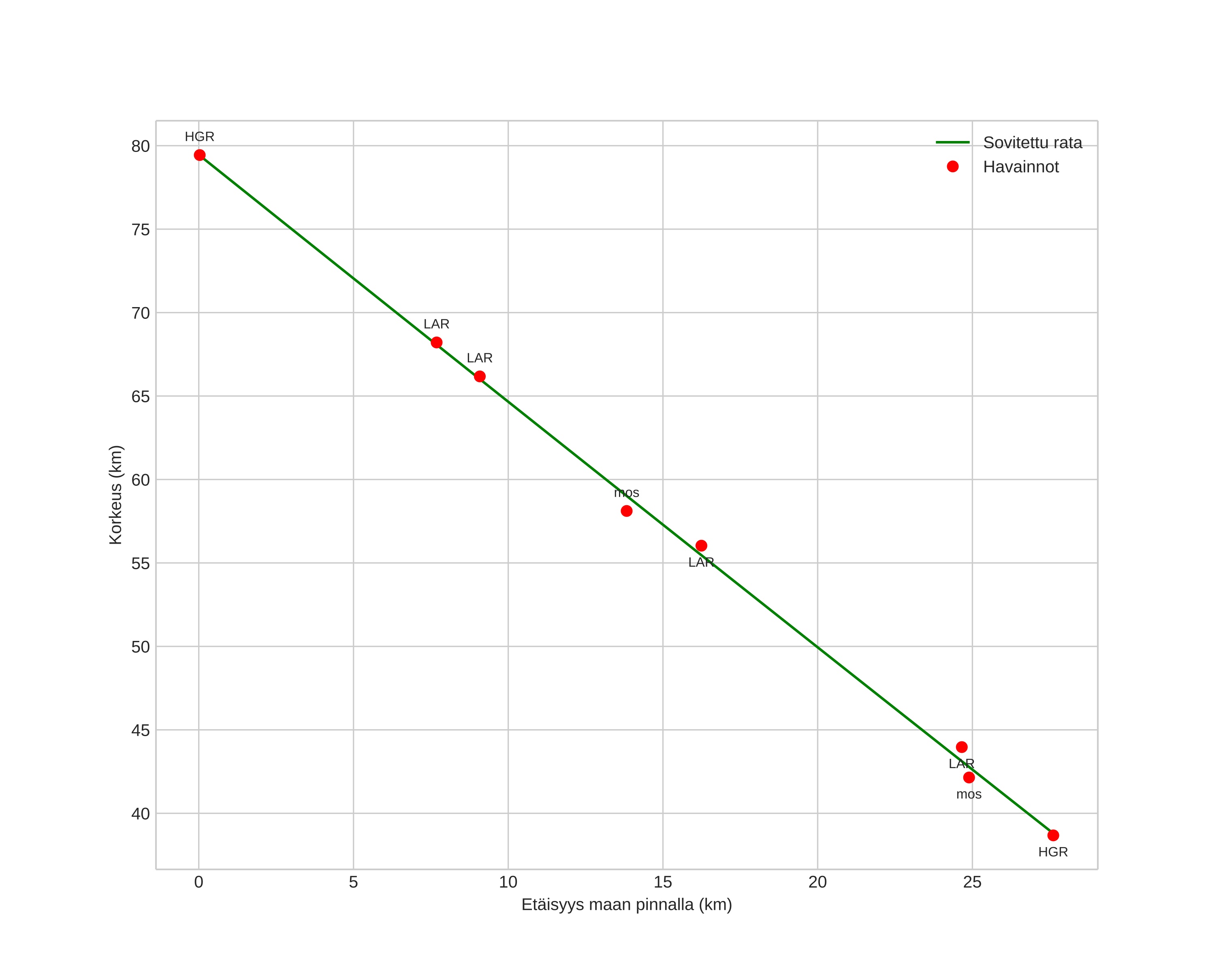
height profile
Meteorin ilmakehärata:
Alkukorkeus: 80,4 km
Loppukorkeus: 39,0 km
Alkupiste: 60,288N 12,050E
Loppupiste: 60,480N 11,720E
Suunta: 319,7°
Kallistuskulma: 55,9°
Tulonopeus: 13,5 km/s
Radiantin R,A,: 07:51 (118,0°)
Radiantin Dekl,: 21,6°
Meteoriparvi: Sporadinen
Meteoroidin rataelementit:
Perihelietäisyys: 0,932 AU
Eksentrisyys: 0,375
Inklinaatio: 0,1°
Nousevan solmun pituus: 327,4°
Perihelin argumentti: 218,1°
Keskianomalia: 343,6°
Epookki: 2025 FEB 16 19:27:20
orbit plot

Ei-interaktiivinen kuvaaja | Interaktiivinen kuvaaja

position vs time
speed and acceleration