🇳🇴 🇬🇧 🇩🇪 🇨🇿 🇫🇮

Meteor, poloha: Stavern 2025-02-17 01:14:45 UTC

Soubor KML  |  InteraktivnĂ­ mapa

Mapa zobrazuje dráhy meteoru. Světlejší čáry ukazují směry od pozorovacích stanic při objevení se meteoru a tmavší čáry, kde byl naposledy viděn. Modrá šipka značí viditelnou dráhu meteoru.

static map
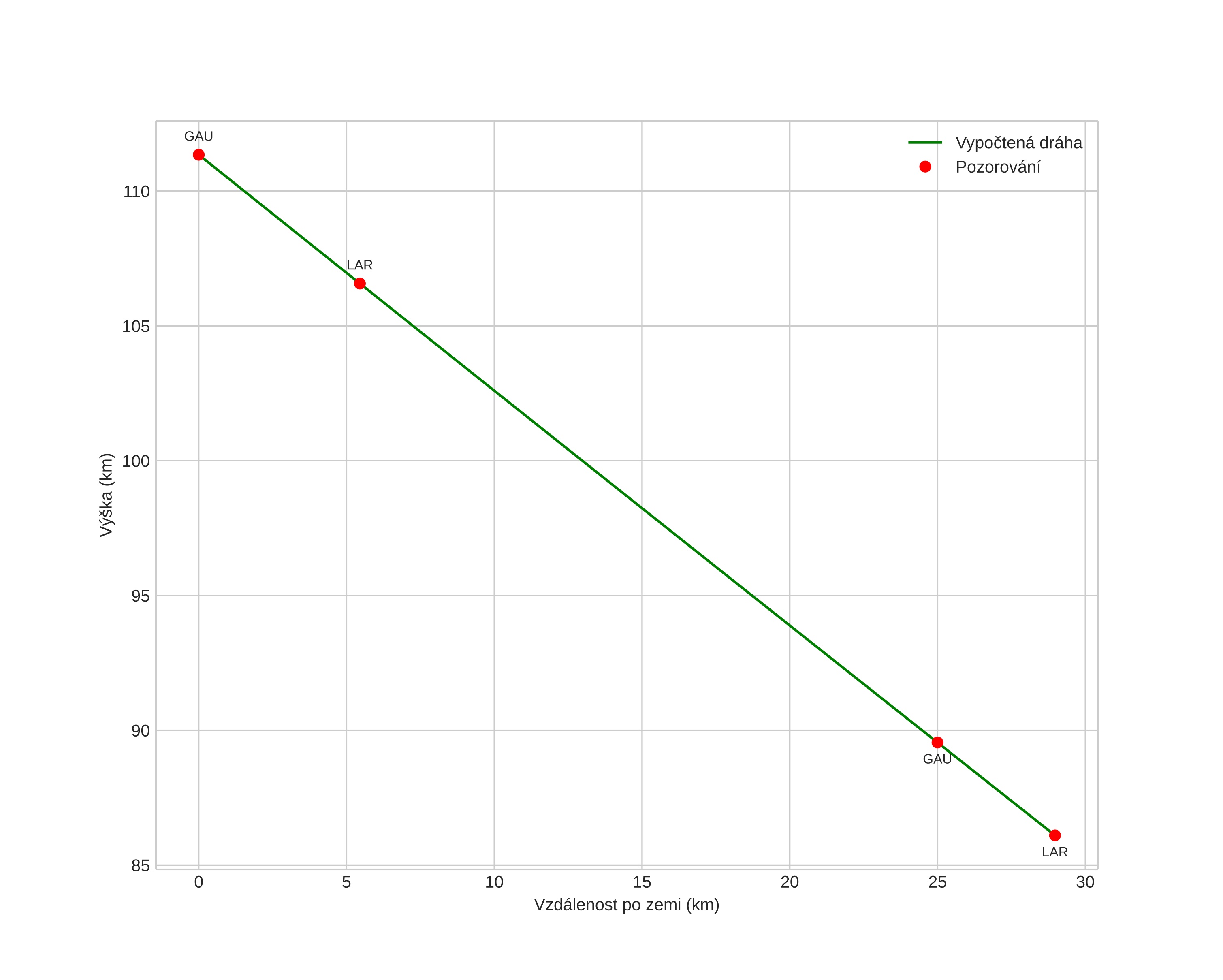
height profile
Atmosférická dráha meteoru:
Počáteční výška: 109,1 km
Konečná výška: 86,8 km
Počáteční poloha: 58,652N 10,612E
Konečná poloha: 58,664N 10,172E
Směr: 273,0°
Sklon: 41,2°
VstupnĂ­ rychlost: 66,6 km/s
Rektascenze radiantu: 15:58 (239,7°)
Deklinace radiantu: 32,6°
MeteorickĂ˝ roj: sporadickĂ˝
Elementy dráhy meteoroidu:
Vzdálenost v periheliu: 0,973 AU
Excentricita: 2,085
Sklon dráhy: 100,7°
Délka vzestupného uzlu: 328,3°
Argument perihelia: 192,4°
Střední anomálie: -8,0°
Epocha: 2025 FEB 17 01:14:45
orbit plot

NeinteraktivnĂ­ graf | InteraktivnĂ­ graf

position vs time
speed and acceleration