🇳🇴 🇬🇧 🇩🇪 🇨🇿 🇫🇮

Meteor Stavernin yllä 2025-02-17 01:14:45 UTC

KML-tiedosto  |  Interaktiivinen kartta

Kartta näyttää meteorin suuntahavainnot. Vaaleammat viivat näyttävät suunnat havaintoasemilta meteorin ilmestyessä, ja tummemmat viivat näyttävät, missä se viimeksi nähtiin. Sininen nuoli näyttää meteorin näkyvän lennon.

static map
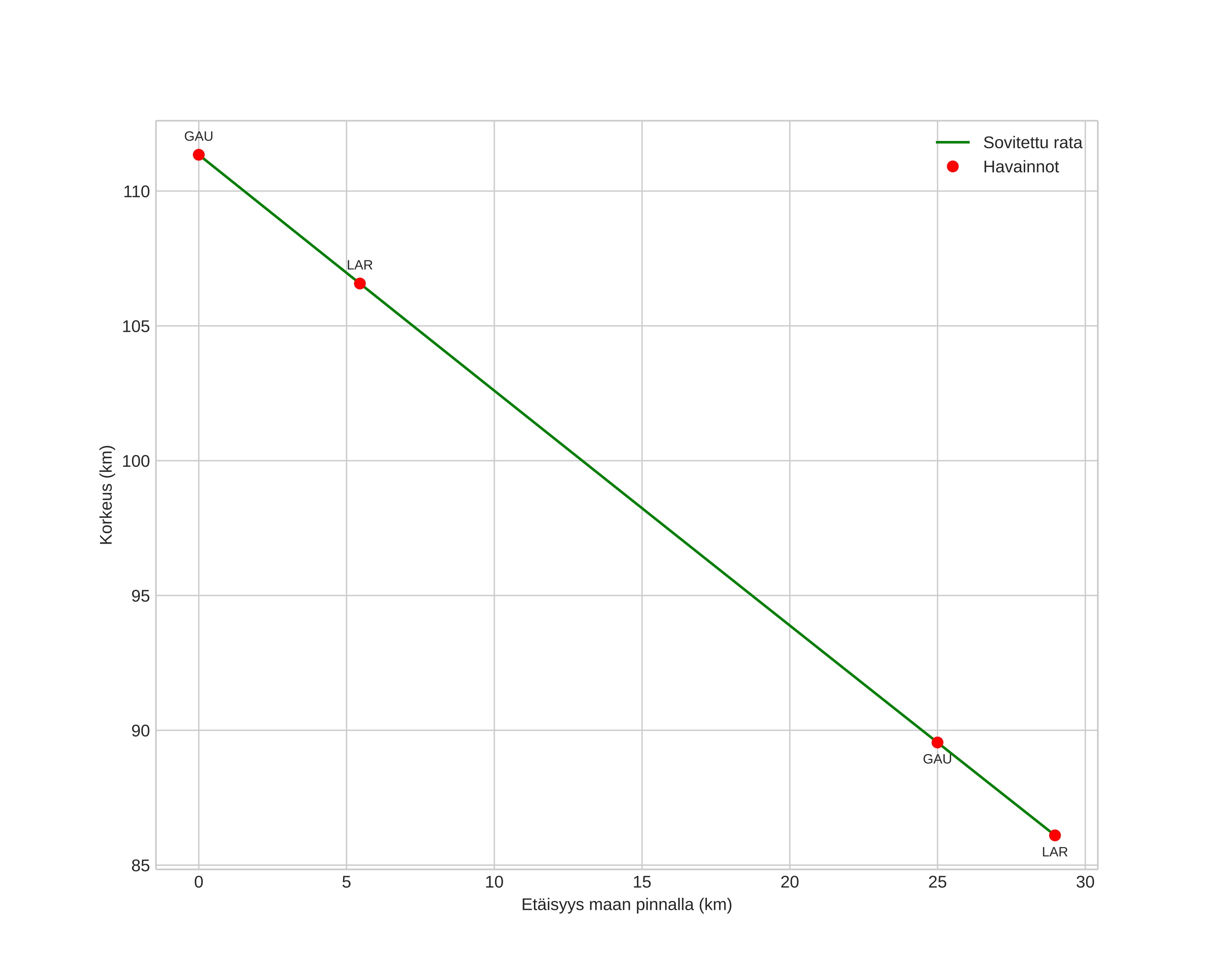
height profile
Meteorin ilmakehärata:
Alkukorkeus: 109,1 km
Loppukorkeus: 86,8 km
Alkupiste: 58,652N 10,612E
Loppupiste: 58,664N 10,172E
Suunta: 273,0°
Kallistuskulma: 41,2°
Tulonopeus: 66,6 km/s
Radiantin R,A,: 15:58 (239,7°)
Radiantin Dekl,: 32,6°
Meteoriparvi: Sporadinen
Meteoroidin rataelementit:
Perihelietäisyys: 0,973 AU
Eksentrisyys: 2,085
Inklinaatio: 100,7°
Nousevan solmun pituus: 328,3°
Perihelin argumentti: 192,4°
Keskianomalia: -8,0°
Epookki: 2025 FEB 17 01:14:45
orbit plot

Ei-interaktiivinen kuvaaja | Interaktiivinen kuvaaja

position vs time
speed and acceleration