🇳🇴 🇬🇧 🇩🇪 🇨🇿 🇫🇮

Meteor, poloha: Byrum 2025-02-17 21:25:09 UTC

Soubor KML  |  InteraktivnĂ­ mapa

Mapa zobrazuje dráhy meteoru. Světlejší čáry ukazují směry od pozorovacích stanic při objevení se meteoru a tmavší čáry, kde byl naposledy viděn. Modrá šipka značí viditelnou dráhu meteoru.

static map
height profile
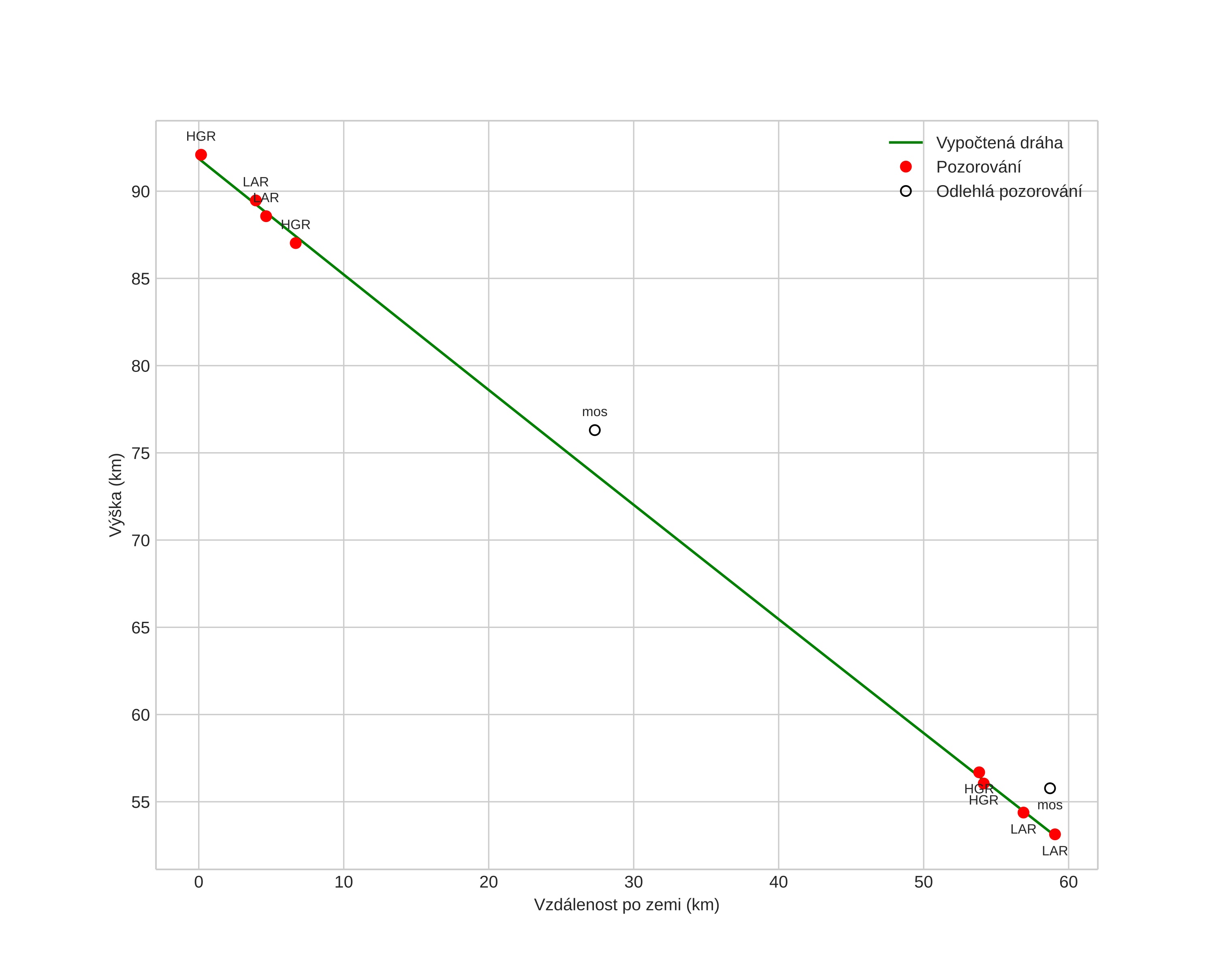
Atmosférická dráha meteoru:
Počáteční výška: 91,9 km
Konečná výška: 53,0 km
Počáteční poloha: 57,091N 12,234E
Konečná poloha: 57,366N 11,392E
Směr: 301,5°
Sklon: 33,3°
VstupnĂ­ rychlost: 29,7 km/s
Rektascenze radiantu: 11:15 (168,9°)
Deklinace radiantu: 11,0°
MeteorickĂ˝ roj: sporadickĂ˝
Elementy dráhy meteoroidu:
Vzdálenost v periheliu: 0,317 AU
Excentricita: 0,779
Sklon dráhy: 7,0°
Délka vzestupného uzlu: 329,1°
Argument perihelia: 303,5°
Střední anomálie: 334,3°
Epocha: 2025 FEB 17 21:25:09
orbit plot

NeinteraktivnĂ­ graf | InteraktivnĂ­ graf

position vs time
speed and acceleration