🇳🇴 🇬🇧 🇩🇪 🇨🇿 🇫🇮

Meteor Byrumin yllä 2025-02-17 21:25:09 UTC

KML-tiedosto  |  Interaktiivinen kartta

Kartta näyttää meteorin suuntahavainnot. Vaaleammat viivat näyttävät suunnat havaintoasemilta meteorin ilmestyessä, ja tummemmat viivat näyttävät, missä se viimeksi nähtiin. Sininen nuoli näyttää meteorin näkyvän lennon.

static map
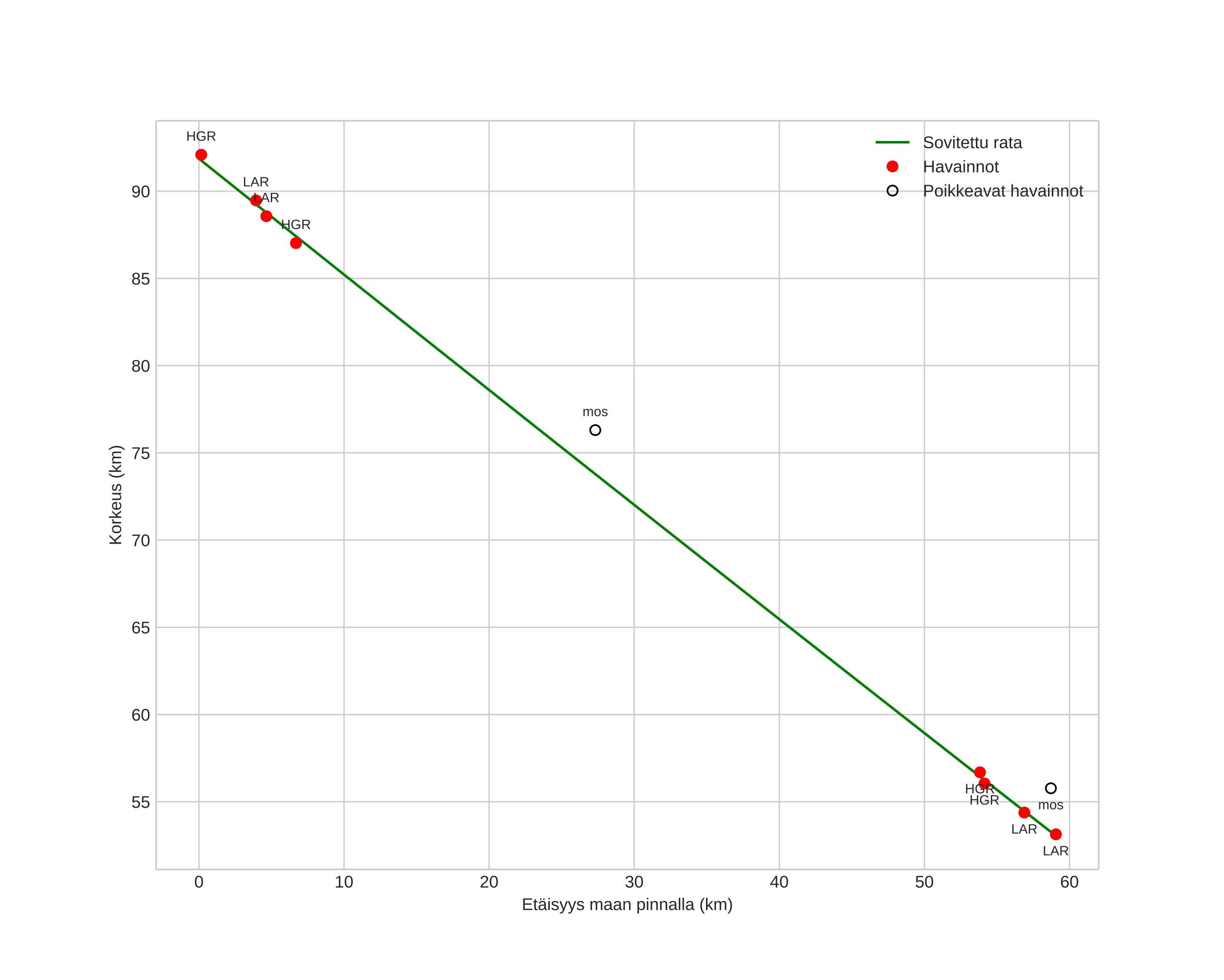
height profile
Meteorin ilmakehärata:
Alkukorkeus: 91,9 km
Loppukorkeus: 53,0 km
Alkupiste: 57,091N 12,234E
Loppupiste: 57,366N 11,392E
Suunta: 301,5°
Kallistuskulma: 33,3°
Tulonopeus: 29,7 km/s
Radiantin R,A,: 11:15 (168,9°)
Radiantin Dekl,: 11,0°
Meteoriparvi: Sporadinen
Meteoroidin rataelementit:
Perihelietäisyys: 0,317 AU
Eksentrisyys: 0,779
Inklinaatio: 7,0°
Nousevan solmun pituus: 329,1°
Perihelin argumentti: 303,5°
Keskianomalia: 334,3°
Epookki: 2025 FEB 17 21:25:09
orbit plot

Ei-interaktiivinen kuvaaja | Interaktiivinen kuvaaja

position vs time
speed and acceleration