🇳🇴 🇬🇧 🇩🇪 🇨🇿 🇫🇮

Meteor, poloha: Hallstavik 2025-02-18 01:17:51 UTC

Soubor KML  |  InteraktivnĂ­ mapa

Mapa zobrazuje dráhy meteoru. Světlejší čáry ukazují směry od pozorovacích stanic při objevení se meteoru a tmavší čáry, kde byl naposledy viděn. Modrá šipka značí viditelnou dráhu meteoru.

static map
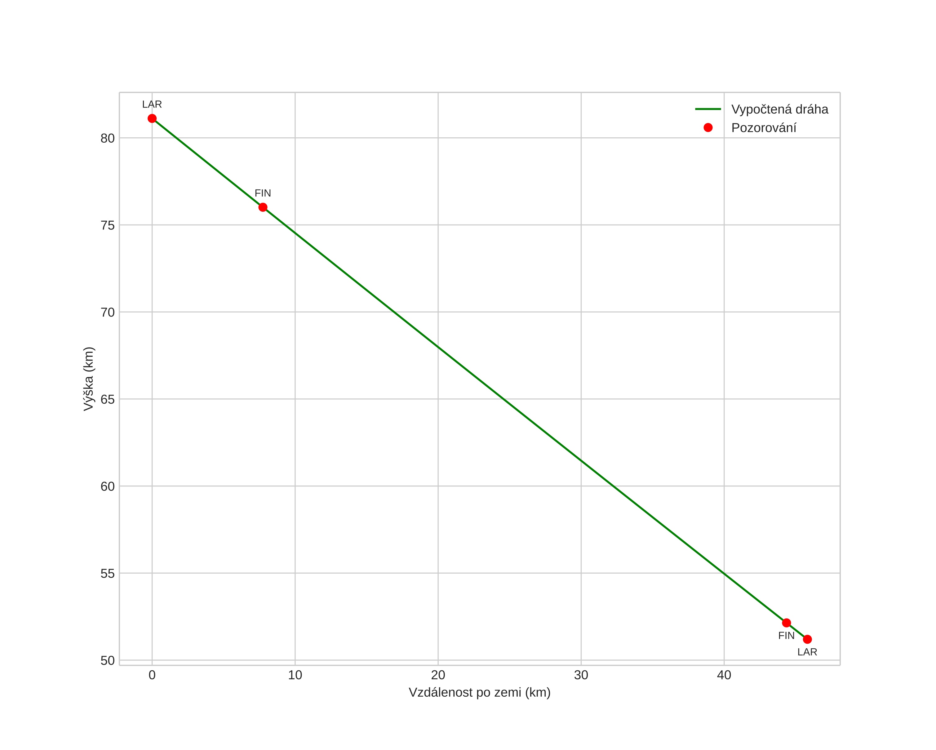
height profile
Atmosférická dráha meteoru:
Počáteční výška: 75,7 km
Konečná výška: 51,2 km
Počáteční poloha: 60,447N 18,633E
Konečná poloha: 60,115N 18,502E
Směr: 191,1°
Sklon: 33,0°
VstupnĂ­ rychlost: 18,0 km/s
Rektascenze radiantu: 23:20 (350,0°)
Deklinace radiantu: 54,4°
MeteorickĂ˝ roj: sporadickĂ˝
Elementy dráhy meteoroidu:
Vzdálenost v periheliu: 0,963 AU
Excentricita: 0,708
Sklon dráhy: 16,6°
Délka vzestupného uzlu: 329,3°
Argument perihelia: 159,9°
Střední anomálie: 2,5°
Epocha: 2025 FEB 18 01:17:51
orbit plot

NeinteraktivnĂ­ graf | InteraktivnĂ­ graf

position vs time
speed and acceleration