🇳🇴 🇬🇧 🇩🇪 🇨🇿 🇫🇮

Meteor Hallstavikin yllä 2025-02-18 01:17:51 UTC

KML-tiedosto  |  Interaktiivinen kartta

Kartta näyttää meteorin suuntahavainnot. Vaaleammat viivat näyttävät suunnat havaintoasemilta meteorin ilmestyessä, ja tummemmat viivat näyttävät, missä se viimeksi nähtiin. Sininen nuoli näyttää meteorin näkyvän lennon.

static map
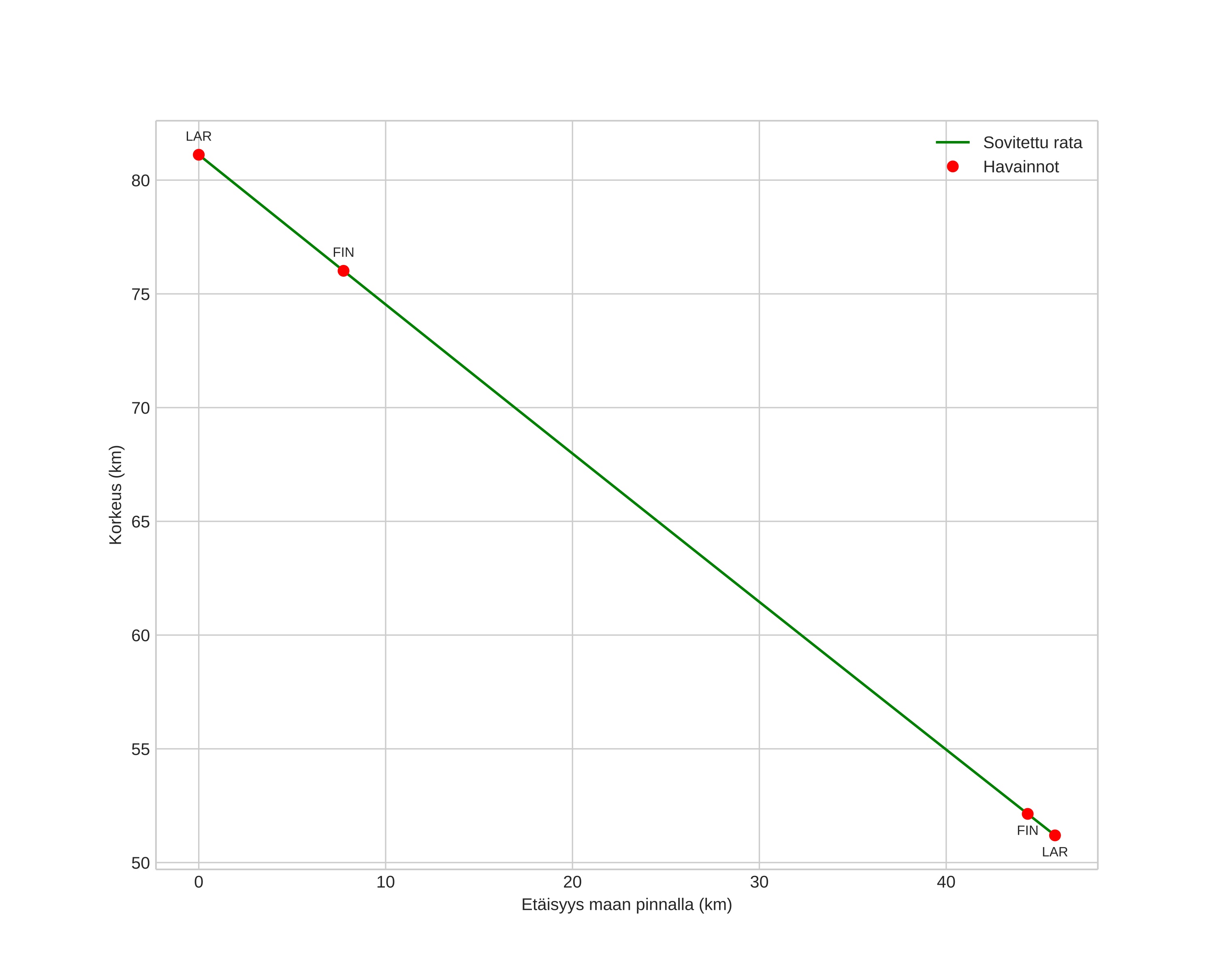
height profile
Meteorin ilmakehärata:
Alkukorkeus: 75,7 km
Loppukorkeus: 51,2 km
Alkupiste: 60,447N 18,633E
Loppupiste: 60,115N 18,502E
Suunta: 191,1°
Kallistuskulma: 33,0°
Tulonopeus: 18,0 km/s
Radiantin R,A,: 23:20 (350,0°)
Radiantin Dekl,: 54,4°
Meteoriparvi: Sporadinen
Meteoroidin rataelementit:
Perihelietäisyys: 0,963 AU
Eksentrisyys: 0,708
Inklinaatio: 16,6°
Nousevan solmun pituus: 329,3°
Perihelin argumentti: 159,9°
Keskianomalia: 2,5°
Epookki: 2025 FEB 18 01:17:51
orbit plot

Ei-interaktiivinen kuvaaja | Interaktiivinen kuvaaja

position vs time
speed and acceleration