🇳🇴 🇬🇧 🇩🇪 🇨🇿 🇫🇮

Meteor, poloha: Hagfors 2025-02-19 02:55:25 UTC

Soubor KML  |  InteraktivnĂ­ mapa

Mapa zobrazuje dráhy meteoru. Světlejší čáry ukazují směry od pozorovacích stanic při objevení se meteoru a tmavší čáry, kde byl naposledy viděn. Modrá šipka značí viditelnou dráhu meteoru.

static map
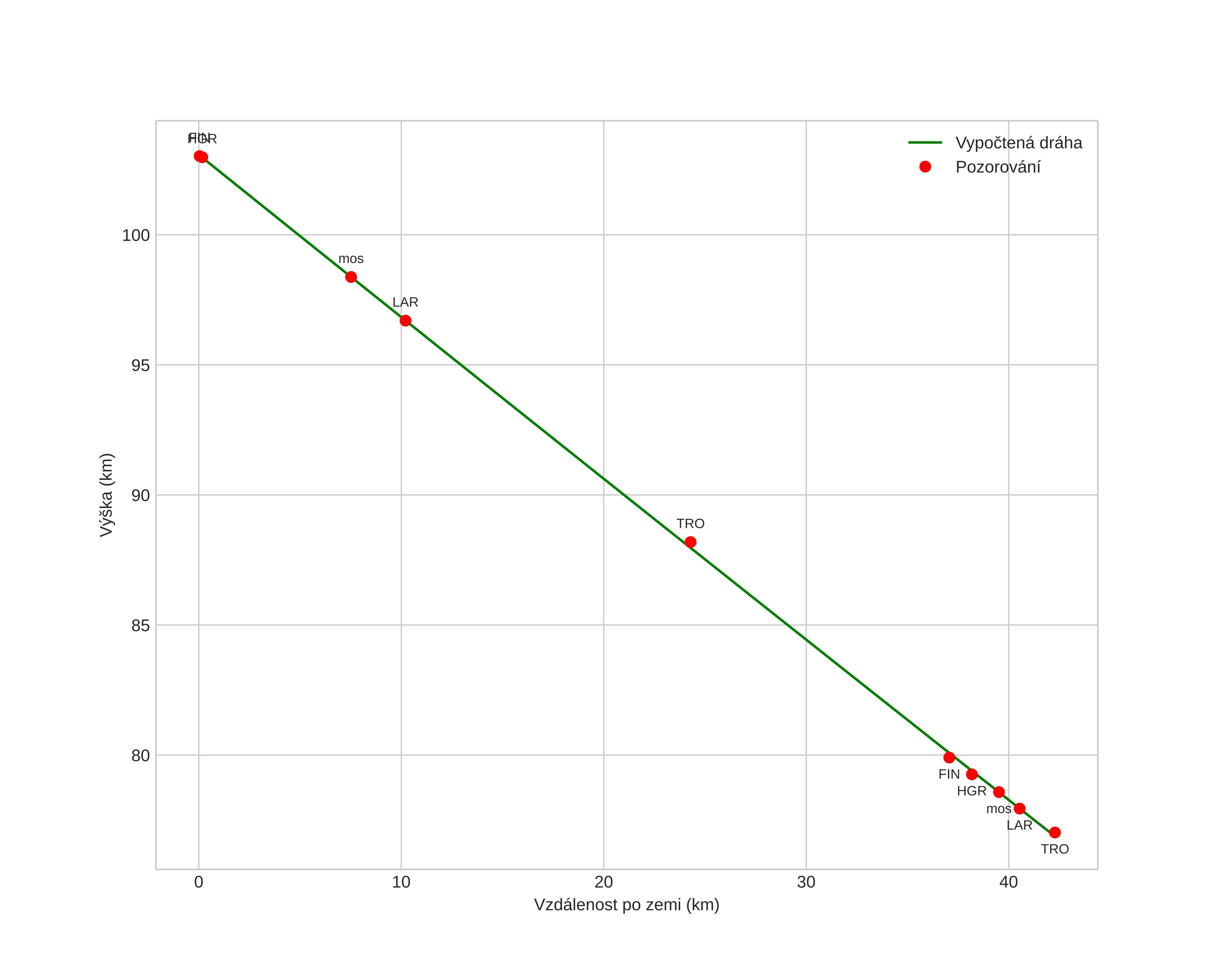
height profile
Atmosférická dráha meteoru:
Počáteční výška: 103,3 km
Konečná výška: 76,3 km
Počáteční poloha: 59,804N 12,872E
Konečná poloha: 59,938N 13,604E
Směr: 69,6°
Sklon: 31,8°
VstupnĂ­ rychlost: 22,7 km/s
Rektascenze radiantu: 09:45 (146,4°)
Deklinace radiantu: 14,0°
MeteorickĂ˝ roj: sporadickĂ˝
Elementy dráhy meteoroidu:
Vzdálenost v periheliu: 0,670 AU
Excentricita: 0,724
Sklon dráhy: 0,3°
Délka vzestupného uzlu: 330,1°
Argument perihelia: 256,8°
Střední anomálie: 348,8°
Epocha: 2025 FEB 19 02:55:25
orbit plot

NeinteraktivnĂ­ graf | InteraktivnĂ­ graf

position vs time
speed and acceleration

Finnskogen (FIN) cam3


gnomonic
Videa
• Gnomonická
• Gnomonická se souřadnicemi
• Původní
• Původní se souřadnicemi
Obrázky
• Gnomonická
• Gnomonická se souřadnicemi
• Původní
• Původní se souřadnicemi
Textové soubory
• Detekce
• Pozorování
• Souřadnice
• Protokol
Jasnost