🇳🇴 🇬🇧 🇩🇪 🇨🇿 🇫🇮

Meteor über Hagfors 2025-02-19 02:55:25 UTC

KML-Datei  |  Interaktive Karte

Die Karte zeigt die Peilungen für den Meteor. Die helleren Linien zeigen die Richtungen von den Beobachtungsorten beim Erscheinen des Meteors, und die dunkleren Linien, wo er zuletzt gesehen wurde. Der blaue Pfeil zeigt die sichtbare Bahn des Meteors.

static map
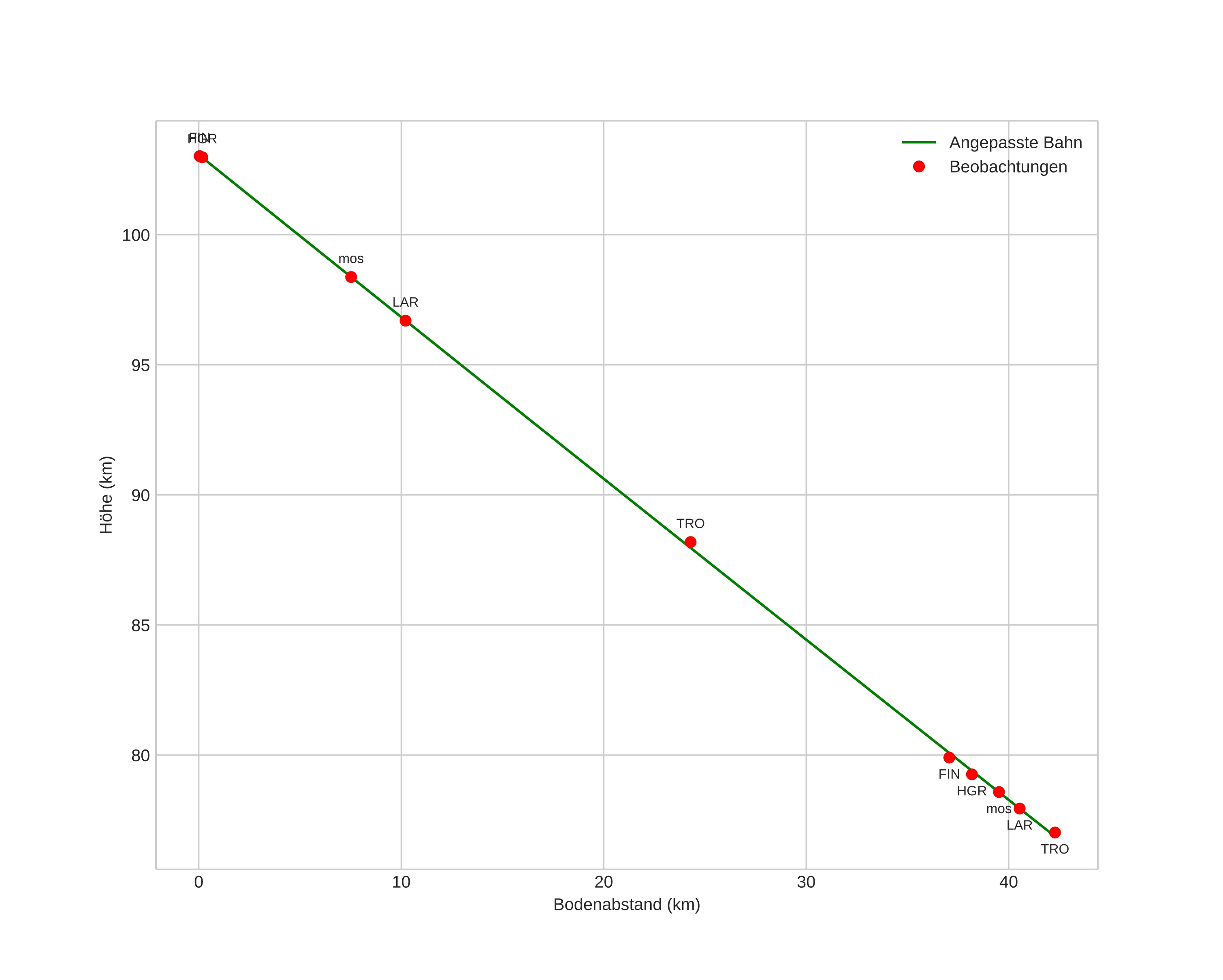
height profile
Atmosphärische Bahn des Meteors:
Anfangshöhe: 103,3 km
Endhöhe: 76,3 km
Startposition: 59,804N 12,872E
Endposition: 59,938N 13,604E
Richtung: 69,6°
Neigungswinkel: 31,8°
Eintrittsgeschwindigkeit: 22,7 km/s
Rektaszension des Radianten: 09:45 (146,4°)
Deklination des Radianten: 14,0°
Meteorstrom: sporadisch
Bahnelemente des Meteoroiden:
Periheldistanz: 0,670 AU
Exzentrizität: 0,724
Inklination: 0,3°
Länge des aufsteigenden Knotens: 330,1°
Argument des Perihels: 256,8°
Mittlere Anomalie: 348,8°
Epoche: 2025 FEB 19 02:55:25
orbit plot

Nicht-interaktives Diagramm | Interaktives Diagramm

position vs time
speed and acceleration

Finnskogen (FIN) cam3


gnomonic
Videos
• Gnomonisch
• Gnomonisch mit Koordinaten
• Original
• Original mit Koordinaten
Bilder
• Gnomonisch
• Gnomonisch mit Koordinaten
• Original
• Original mit Koordinaten
Textdateien
• Erkennung
• Beobachtung
• Koordinaten
• Protokoll
Helligkeit