🇳🇴 🇬🇧 🇩🇪 🇨🇿 🇫🇮

Meteor, poloha: Andenes 2025-02-25 01:37:18 UTC

Soubor KML  |  InteraktivnĂ­ mapa

Mapa zobrazuje dráhy meteoru. Světlejší čáry ukazují směry od pozorovacích stanic při objevení se meteoru a tmavší čáry, kde byl naposledy viděn. Modrá šipka značí viditelnou dráhu meteoru.

static map
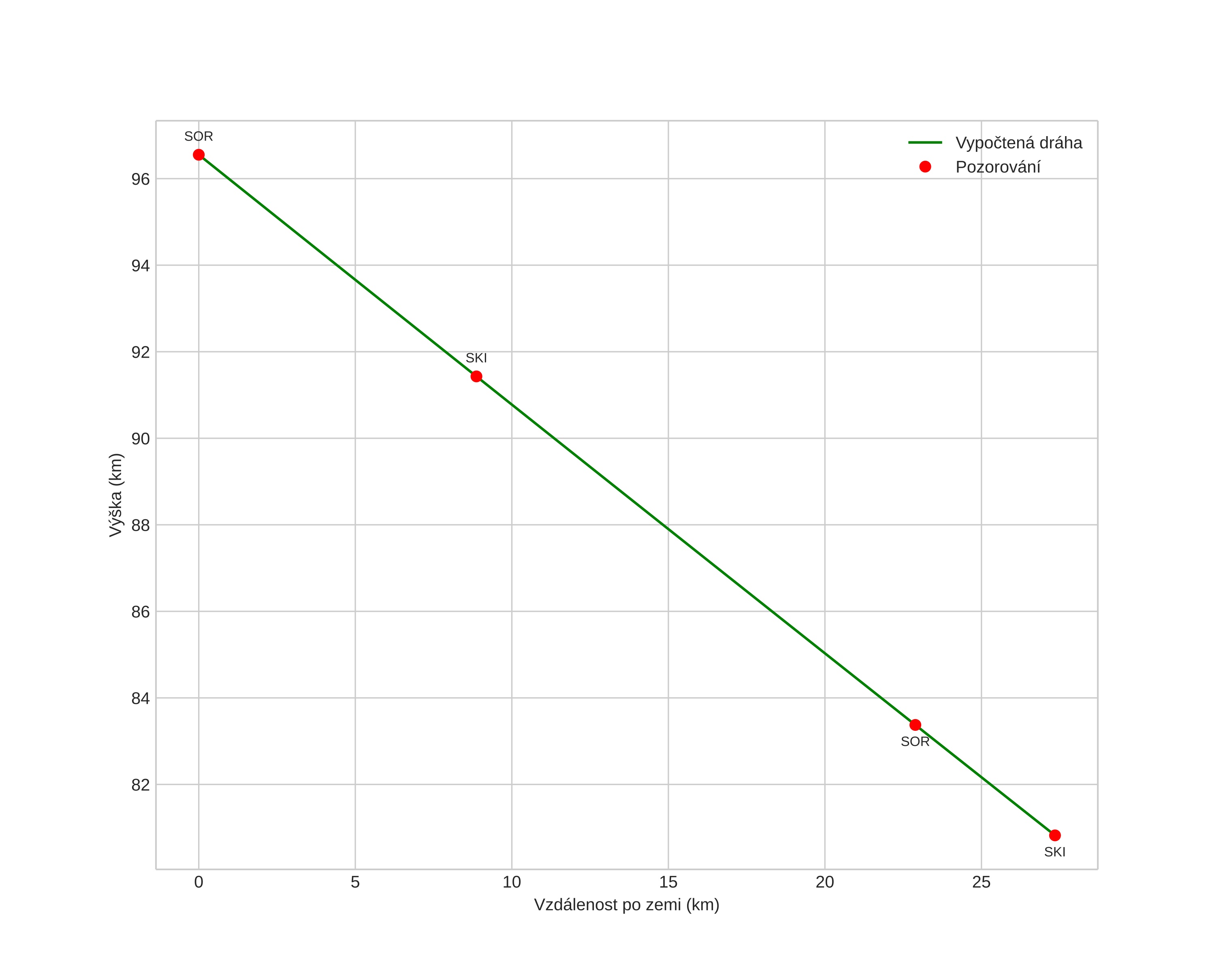
height profile
Atmosférická dráha meteoru:
Počáteční výška: 95,1 km
Konečná výška: 79,8 km
Počáteční poloha: 69,814N 15,314E
Konečná poloha: 70,041N 15,633E
Směr: 25,6°
Sklon: 28,6°
VstupnĂ­ rychlost: 33,1 km/s
Rektascenze radiantu: 11:24 (171,2°)
Deklinace radiantu: 8,3°
MeteorickĂ˝ roj: sporadickĂ˝
Elementy dráhy meteoroidu:
Vzdálenost v periheliu: 0,327 AU
Excentricita: 0,877
Sklon dráhy: 5,5°
Délka vzestupného uzlu: 336,3°
Argument perihelia: 295,7°
Střední anomálie: 350,8°
Epocha: 2025 FEB 25 01:37:18
orbit plot

NeinteraktivnĂ­ graf | InteraktivnĂ­ graf

position vs time
speed and acceleration