🇳🇴 🇬🇧 🇩🇪 🇨🇿 🇫🇮

Meteor Andenesin yllä 2025-02-25 01:37:18 UTC

KML-tiedosto  |  Interaktiivinen kartta

Kartta näyttää meteorin suuntahavainnot. Vaaleammat viivat näyttävät suunnat havaintoasemilta meteorin ilmestyessä, ja tummemmat viivat näyttävät, missä se viimeksi nähtiin. Sininen nuoli näyttää meteorin näkyvän lennon.

static map
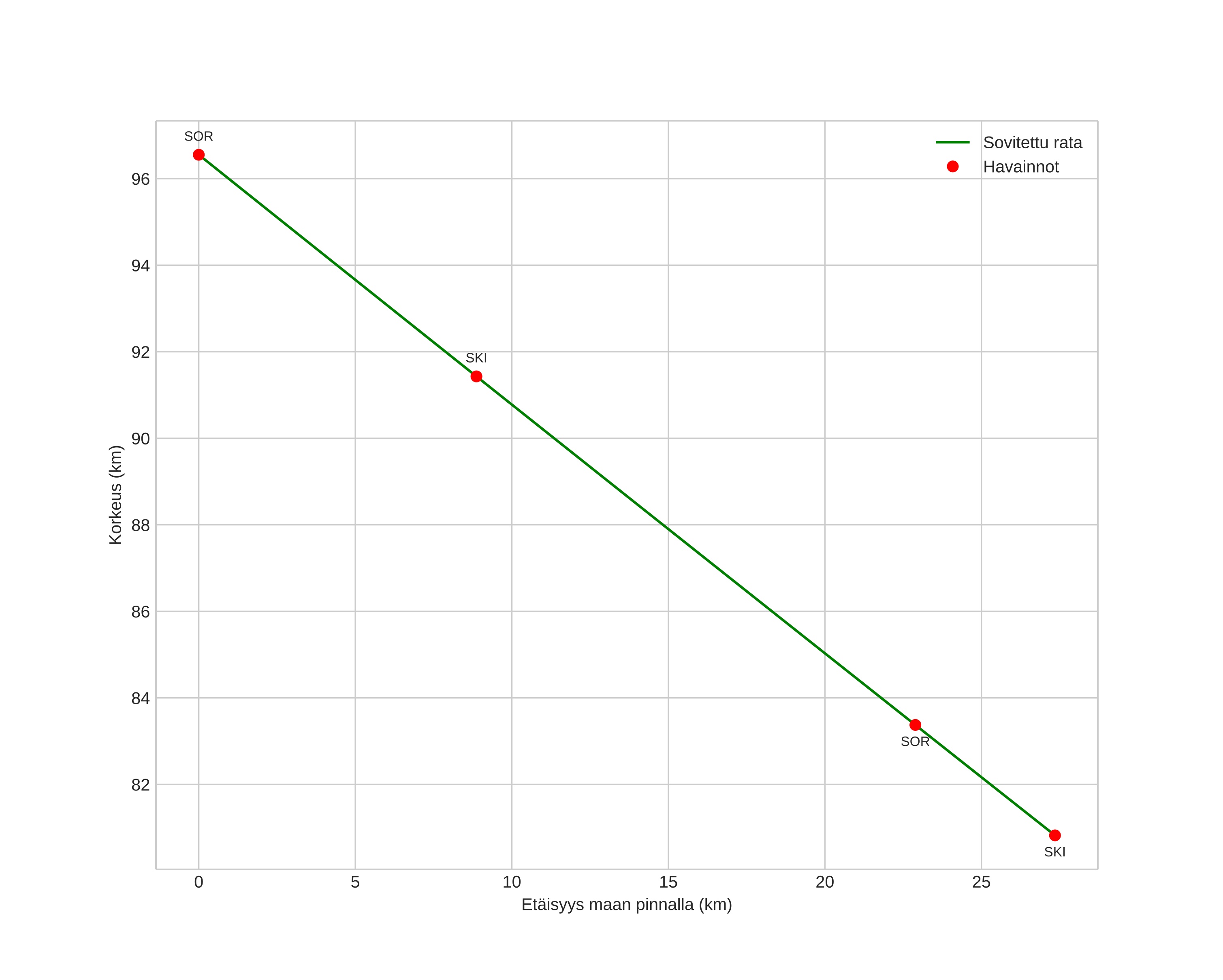
height profile
Meteorin ilmakehärata:
Alkukorkeus: 95,1 km
Loppukorkeus: 79,8 km
Alkupiste: 69,814N 15,314E
Loppupiste: 70,041N 15,633E
Suunta: 25,6°
Kallistuskulma: 28,6°
Tulonopeus: 33,1 km/s
Radiantin R,A,: 11:24 (171,2°)
Radiantin Dekl,: 8,3°
Meteoriparvi: Sporadinen
Meteoroidin rataelementit:
Perihelietäisyys: 0,327 AU
Eksentrisyys: 0,877
Inklinaatio: 5,5°
Nousevan solmun pituus: 336,3°
Perihelin argumentti: 295,7°
Keskianomalia: 350,8°
Epookki: 2025 FEB 25 01:37:18
orbit plot

Ei-interaktiivinen kuvaaja | Interaktiivinen kuvaaja

position vs time
speed and acceleration