🇳🇴 🇬🇧 🇩🇪 🇨🇿 🇫🇮

Meteor, poloha: Nyhammar 2025-02-27 20:59:10 UTC

Soubor KML  |  InteraktivnĂ­ mapa

Mapa zobrazuje dráhy meteoru. Světlejší čáry ukazují směry od pozorovacích stanic při objevení se meteoru a tmavší čáry, kde byl naposledy viděn. Modrá šipka značí viditelnou dráhu meteoru.

static map
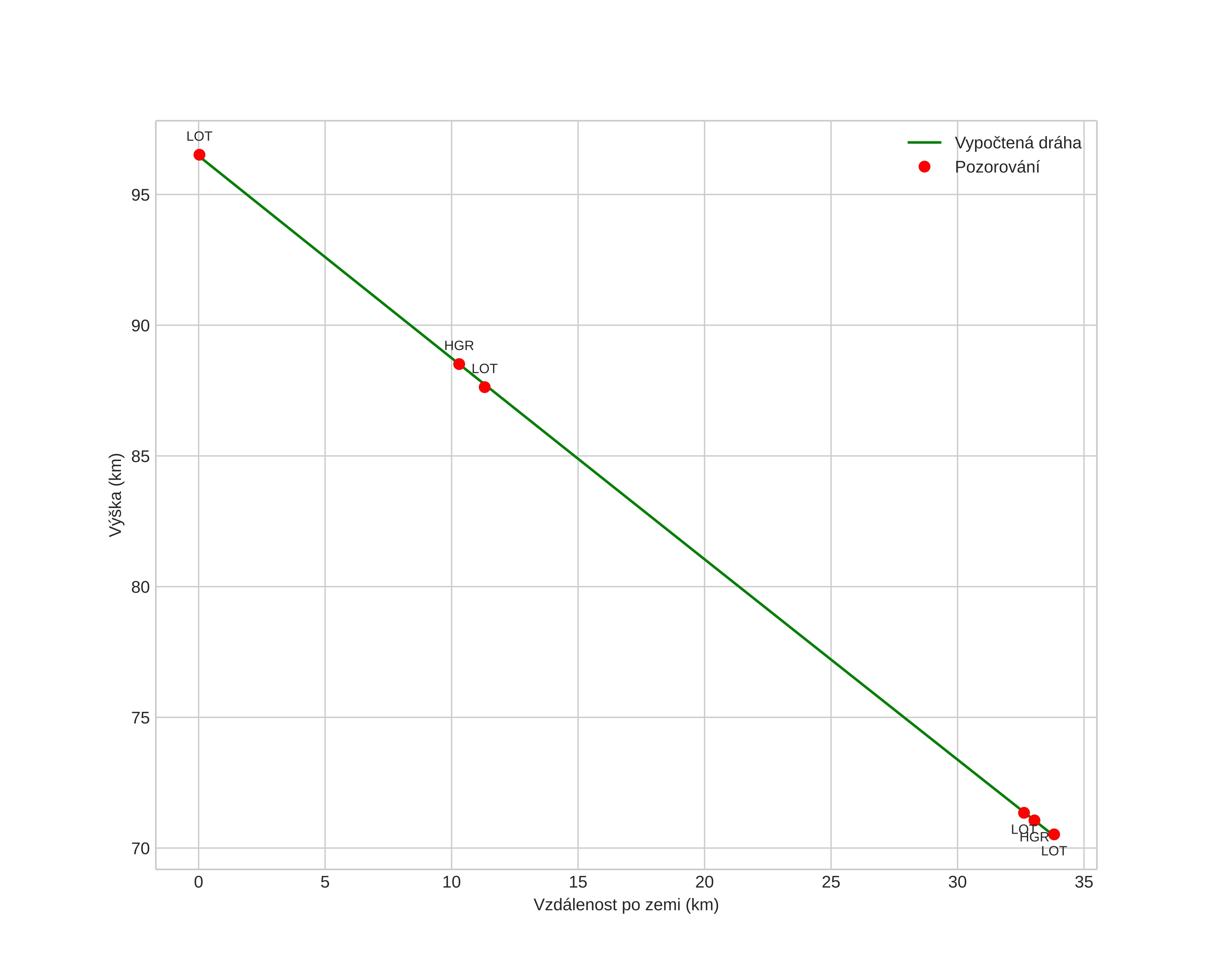
height profile
Atmosférická dráha meteoru:
Počáteční výška: 96,4 km
Konečná výška: 69,9 km
Počáteční poloha: 60,539N 15,455E
Konečná poloha: 60,307N 15,039E
Směr: 221,7°
Sklon: 37,6°
VstupnĂ­ rychlost: 34,3 km/s
Rektascenze radiantu: 16:07 (241,9°)
Deklinace radiantu: 54,3°
MeteorickĂ˝ roj: sporadickĂ˝
Elementy dráhy meteoroidu:
Vzdálenost v periheliu: 0,959 AU
Excentricita: 0,669
Sklon dráhy: 53,9°
Délka vzestupného uzlu: 339,2°
Argument perihelia: 203,1°
Střední anomálie: 356,5°
Epocha: 2025 FEB 27 20:59:10
orbit plot

NeinteraktivnĂ­ graf | InteraktivnĂ­ graf

position vs time
speed and acceleration